|
Serwis Edukacyjny Nauczycieli w I-LO w Tarnowie
Materiały dla uczniów liceum |
Wyjście Spis treści Wstecz Dalej
Autor artykułu: mgr Jerzy Wałaszek |
©2026 mgr Jerzy Wałaszek
|
| SPIS TREŚCI |
| Podrozdziały |
SDL_SetRenderDrawColor(r,cr,cg,cb,ca)
– ustawia kolor dla operacji graficznej.
r – wskaźnik struktury SDL_Renderer
cr – składowa czerwona
cg – składowa zielona
cb – składowa niebieska
ca –
przezroczystość koloru
SDL_RenderDrawPoint(r,x,y) – rysuje punkt w bieżącym kolorze.
r – wskaźnik struktury SDL_Renderer
x,y – współrzędne punktu
SDL_RenderDrawPoints(r,P,n) – rysuje zadaną liczbę punktów z
tablicy
r – wskaźnik struktury SDL_Renderer
P – tablica struktur typu SDL_Point,
która definiuje współrzędne punktów
n – liczba wierzchołków w tablicy p
SDL_RenderDrawLine(r,x1,y1,x2,y2) – rysuje odcinek
r – wskaźnik struktury SDL_Renderer
x1,y1 – współrzędne punktu początkowego
odcinka
x2,y2 – współrzędne punktu końcowego odcinka
SDL_RenderDrawLines(r,P,n) – rysuje łamaną
r – wskaźnik struktury SDL_Renderer
P – tablica struktur typu SDL_Point,
która definiuje współrzędne kolejnych wierzchołków łamanej
n – liczba
wierzchołków w tablicy p.
Zdarza się jednak, iż chcesz narysować odcinek w sposób specyficzny, np. linią przerywaną lub gradientem. W takim przypadku zastosowanie funkcji bibliotecznych jest kłopotliwe. Do rysowania odcinków na powierzchni rastrowej (tj. zbudowanej z dyskretnych pikseli) wykorzystuje się tzw. algorytm Bresenhama. Algorytm ten zaprojektował w roku 1965 informatyk amerykański Jack Elton Bresenham. Zaletą tego algorytmu jest duża szybkość działania oraz prostota. W poprzednim rozdziale o figurach podaliśmy wersje algorytmu Bresenhama dla okręgów i elips. Tutaj opiszemy podstawowy algorytm Bresenhama, który dotyczy odcinków prostych.
Na początek określmy, co chcemy uzyskać.
Mamy siatkę (raster) pikseli o współrzędnych całkowitych. Oś y skierowana jest w dół, oś x skierowana jest w prawo (tak zbudowane są powierzchnie graficzne tekstur w SDL 2):

Na siatce wybieramy dwa punkty o współrzędnych (x1,y1) oraz (x2,y2). Współrzędne odnoszą się do środka piksela (przyjmuje się, że piksel jest kwadratem o boku równym 1 i środku w punkcie x,y). Bez zmniejszania ogólności załóżmy, iż punkty te wybrano, tak aby odcinek (x1,y1)–(x2,y2) tworzył z osią OX kąt w przedziale od 0 do 45°. Inne przypadki, jak zobaczymy dalej w artykule, da się prosto sprowadzić do tego przypadku przy pomocy prostych transformacji współrzędnych. Wybrane punkty mają być połączone odcinkiem:

Zadanie sprowadza się do pokolorowania kolejnych pikseli, których środki leżą najbliżej punktu znajdującego się na odcinku i posiadającego tę samą współrzędną x, co piksel. Zwróć uwagę, iż ze względu na nasze założenie, w kierunku X współrzędne kolejnych pikseli są zwiększane zawsze co 1, natomiast w kierunku Y odbywa się to mniej często. Kierunek X nazwiemy szybkim, a kierunek Y wolnym:

Algorytm Bresenhama określa, kiedy należy wykonać ruch w kierunku wolnym Y (bo w kierunku szybkim X ruch wykonujemy zawsze!).
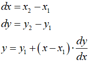
Rozważmy równanie prostej przechodzącej przez dwa punkty (x1,y1) i (x2,y2):

W powyższym równaniu x oznacza współrzędną środka kolejnego piksela (punkty niebieskie). Współrzędna y natomiast odnosi się do punktu leżącego na prostej zawierającej odcinek (punkty czerwone). Środek piksela jest zwykle w pewnej odległości od odpowiadającego mu punktu na odcinku. Oznaczmy tą odległość przez ddy, a współrzędną y środka piksela przez yp. Zatem możemy zapisać:

Przyrównujemy do siebie oba wyrażenia, ponieważ oba są równe y:

Przekształćmy wyrażenie następująco:

Wyrażenie -ddy·dx jest tzw. wyrażeniem błędu (ang. error term). Zgodnie ze wzorem krok w kierunku szybkim X powoduje zmniejszenie wyrażenia błędu o dy. Jeśli wartość wyrażenia będzie ujemna, to wykonujemy krok w kierunku wolnym Y, czyli zwiększamy je o dx. Ponieważ dx ≥ dy, to wyrażenie błędu sprowadzi się znów do wartości dodatniej lub 0. Na tej podstawie algorytm Bresenhama określa kiedy należy wykonać ruch w kierunku Y - stara się zawsze utrzymać wyrażenie błędu w zakresie liczb dodatnich i zera. Wartości ddy wcale nie musimy obliczać. Bardzo ważna jest wartość początkowa wyrażenia błędu. Zwykle przyjmuje się ją równą dx/2.
Sformułujmy algorytm Bresenhama dla opisanego wyżej przypadku:
x2,y2 - całkowite współrzędne punktu końcowego
Założenie: x2 > x1, y2 > y1, x2 - x1 > y2 - y1
| K01: | dx ← x2 - x1 | ; obliczamy odległości dx i dy |
| K02: | dy ← y2 - y1 | |
| K03: | e ← dx / 2 | ; ustalamy wartość początkową wyrażenia błędu |
| K05: | Rysuj piksel x1,y1 | ; zapalamy pierwszy piksel odcinka |
| K04: | Wykonuj dx razy kroki K06...K10 | ; w pętli zapalamy kolejne piksele |
| K06: | x1 ← x1 + 1 | ; ruch w kierunku szybkim |
| K07: | e ← e - dy | ; modyfikujemy po ruchu wyrażenie błędu |
| K08: | Jeśli
e ≥ 0, to idź do kroku K11 |
; jeśli e nieujemne, pomijamy ruch w kierunku wolnym |
| K09: | y1 ← y1 + 1 | ; ruch w kierunku wolnym |
| K10: | e ← e + dx | ; po ruchu wolnym modyfikujemy wyrażenie błędu |
| K11: | Rysuj piksel x1,y1 | ; zapalamy kolejne piksele odcinka |
| K12: | Zakończ |
Prześledzimy działanie tego algorytmu na prostym przykładzie.
| Lp. | Raster | Opis |
|---|---|---|
| 1. |
![]() |
Połączymy odcinkiem punkty: (1,1) i (7,5) Zatem: x1 = 1, y1 = 1 |
| 2. |
![]() |
Rysujemy pierwszy punkt na współrzędnych x1,y1, czyli (1,1) |
| 3. |
![]() |
Na osi X przesuwamy się o 1
(kierunek szybki): x1 = x1 + 1 = 1 + 1 = 2 Modyfikujemy wyrażenie błędu: e = e - dy = 3 - 4 = -1. Ponieważ e jest ujemne, wykonujemy ruch w kierunku wolnym Y: y1 = y1 + 1 = 1 + 1 = 2 Modyfikujemy wyrażenie błędu: e = e + dx = -1 + 6 = 5 Rysujemy punkt (x1,y1), czyli (2,2). |
| 4. |
![]() |
Na osi X przesuwamy się o 1. x1 = x1 + 1 = 2 + 1 = 3 Obliczamy wyrażenie błędu: e = e - dy = 5 - 4 = 1 Ponieważ e nie jest ujemne , nie przesuwamy się na osi Y. Rysujemy punkt (3,2). |
| 5. |
![]() |
Na osi X przesuwamy się o 1 i wyliczamy nowe
wyrażenie błędu: x1 = x1 + 1 = 3 + 1 = 4 e = e - dy = 1 - 4 = -3. Ponieważ e jest ujemne, wykonujemy ruch w kierunku wolnym Y: y1 = y1 + 1 = 2 + 1 = 3 Modyfikujemy wyrażenie błędu: e = e + dx = -3 + 6 = 3 Rysujemy punkt (x1,y1), czyli (4,3). |
| 6. |
![]() |
Na osi X przesuwamy się o 1 i wyliczamy e x1 = x1 + 1 = 4 + 1 = 5 e = e - dy = 3 - 4 = -1. Ponieważ e jest ujemne, wykonujemy ruch w kierunku wolnym Y: y1 = y1 + 1 = 3 + 1 = 4 Modyfikujemy wyrażenie błędu: e = e + dx = -1 + 6 = 5 Rysujemy punkt (x1,y1), czyli (5,4). |
| 7. |
![]() |
Na osi X przesuwamy się o 1 i wyliczamy nowe e: x1 = x1 + 1 = 5 + 1 = 6 e = e - dy = 5 - 4 = 1 Ponieważ e nie jest ujemne , nie przesuwamy się na osi Y. Rysujemy punkt (6,4). |
| 8. |
![]() |
Ostatni krok algorytmu: x1 = x1
+ 1 = 6 + 1 = 7 |
Przedstawiony powyżej algorytm Bresenhama działa poprawnie jedynie dla przypadku, gdy odcinek tworzy z osią OX kąt mniejszy lub równy 45°.
Poniższy program wykorzystuje przedstawiony algorytm do narysowania odcinka od lewego górnego narożnika okna do prawego dolnego (szerokość okna nie może być większa o jego wysokości):
C++// Algorytm Bresenhama 1
//----------------------
#include <SDL.h>
#include <iostream>
using namespace std;
// Rozmiar okienka
const int W_W = 640;
const int W_H = 480;
int main(int argc, char* args[])
{
// Inicjujemy SDL
if(SDL_Init(SDL_INIT_VIDEO))
{
cout << "SDL_Init Error: " << SDL_GetError() << endl;
return 1;
}
// Tworzymy okno
SDL_Window * w = SDL_CreateWindow("Bresenham", SDL_WINDOWPOS_CENTERED, SDL_WINDOWPOS_CENTERED, W_W, W_H, 0);
if(!w)
{
cout << "SDL_CreateWindow Error: " << SDL_GetError() << endl;
SDL_Quit();
return 2;
}
// Tworzymy kontekst graficzny
SDL_Renderer * r = SDL_CreateRenderer(w,0,SDL_RENDERER_PRESENTVSYNC);
if(!r)
{
cout << "SDL_CreateRenderer Error: " << SDL_GetError() << endl;
SDL_DestroyWindow(w);
SDL_Quit();
return 3;
}
// Algorytm Bresenhama
int x1,y1,x2,y2,dx,dy,e,i;
// Współrzędne punktów startowego i końcowego
x1 = y1 = 0; // Lewy górny narożnik okna
x2 = W_W - 1;
y2 = W_H - 1; // Prawy dolny narożnik okna
SDL_SetRenderDrawColor(r,255,255,255,255); // Białe piksele
dx = x2 - x1;
dy = y2 - y1;
e = dx / 2;
// Rysujemy pierwszy piksel
SDL_RenderDrawPoint(r,x1,y1);
// Pętla rysująca pozostałe piksele
for(i = 0; i < dx; i++)
{
x1++; // Ruch w kierunku szybkim
e -= dy; // Wyrażenie błędu
if(e < 0)
{
y1++; // Ruch w kierunku wolnym
e += dx;
}
// Rysujemy kolejny piksel
SDL_RenderDrawPoint(r,x1,y1);
}
// Uaktualniamy treść okna na ekranie
SDL_RenderPresent(r);
// Czekamy na zamknięcie okna graficznego
SDL_Event event;
while(1)
{
// Sprawdzamy, czy użytkownik zamyka program
if(SDL_PollEvent(&event) && event.type == SDL_QUIT) break;
}
// Usuwamy kontekst graficzny
SDL_DestroyRenderer(r);
// Usuwamy okno
SDL_DestroyWindow(w);
// Kończymy pracę z SDL2
SDL_Quit();
return 0;
}
|
Poniżej przedstawiamy pełny algorytm Bresenhama, który rysuje odcinki pomiędzy dowolnymi punktami na powierzchni graficznej. Inne przypadki nachyleń są sprowadzane do przypadku podstawowego przez odpowiednią podmianę współrzędnych punktów odcinka.
x2,y2 - całkowite współrzędne punktu końcowego
dy - odległość współrzędnych y1, y2
kx - krok po osi X, 1 lub -1
ky - krok po osi y, 1 lub -1
e - wartość wyrażenia błędu
| K01: | Jeżeli x1 ≤ x2, to kx ← 1 inaczej kx ← -1 |
; określamy krok X od x1 do x2 |
| K02: | Jeżeli y1 ≤ y2, to ky ← 1 inaczej ky ← -1 |
; określamy krok Y od y1 do y2 |
| K03: | dx ← |x2 - x1| | ; odległość pomiędzy x1 i x2 |
| K04: | dy ← |y2 - y1| | ; odległość pomiędzy y1 i y2 |
| K05: | Rysuj piksel x1,y1 | ; pierwszy piksel odcinka |
| K06: | Jeżeli dx < dy, to idź do kroku K16 |
; dla kątów > 45° wykonujemy wersję algorytmu z przestawionymi współrzędnymi |
| K07: | e ← dx / 2 | ; obliczamy wartość początkową wyrażenia błędu |
| K08: | Powtarzaj dx razy kroki K09...K14 | ; rysujemy pozostałe piksele w pętli |
| K09: | x1 ← x1 + kx | ; przesuwamy się w odpowiednią stronę w kierunku szybkim |
| K10: | e ← e - dy | ; obliczamy wyrażenie błędu |
| K11: | Jeżeli
e ≥ 0, to idź do kroku K14 |
; jeśli wyrażenie błędu jest nieujemne, pomijamy ruch w kierunku wolnym |
| K12: | y1 ← y1 + ky | ; przesuwamy się w odpowiednią stronę w kierunku wolnym |
| K13: | e ← e + dx | ; obliczamy nowe wyrażenie błędu |
| K14: | Rysuj piksel x1.y1 | ; kolejny piksel odcinka |
| K15: | Zakończ | |
| K16: | e ← dy / 2 | ; wersja algorytmu Bresenhama ze zamienionymi współrzędnymi x i y |
| K17: | Powtarzaj dy razy kroki K18...K23 | |
| K18: | y1 ← y1 + ky | |
| K19: | e ← e - dx | |
| K20: | Jeżeli
e ≥ 0, to idź do kroku K23 |
|
| K21: | x1 ← x1 + kx | |
| K22: | e ← e + dy | |
| K23: | Rysuj piksel x1,y1 | |
| K24: | Zakończ |
Poniższy program wykorzystuje algorytm Bresenhama do rysowania odcinków o losowych współrzędnych:
C++// Algorytm Bresenhama 2
//----------------------
#include <SDL.h>
#include <iostream>
#include <cstdlib>
#include <ctime>
using namespace std;
// Rozmiar okienka
const int W_W = 640;
const int W_H = 480;
// Funkcja rysuje odcinek algorytmem Bresenhama
//---------------------------------------------
void SDL_RenderBresenhamLine(SDL_Renderer * r, int x1, int y1, int x2, int y2)
{
int dx,dy,kx,ky,e,i;
// Przyrosty w osiach x i y
if(x1 <= x2) kx = 1; else kx = -1;
if(y1 <= y2) ky = 1; else ky = -1;
// Odległości pomiędzy punkatami startowym a końcowym wzdłuż osi
dx = x2 - x1; if(dx < 0) dx = -dx;
dy = y2 - y1; if(dy < 0) dy = -dy;
// Rysujemy punkt startowy
SDL_RenderDrawPoint(r,x1,y1);
// Wybieramy wersję algorytmu Bresenhama
if(dx >= dy)
{
// Wersja podstawowa
e = dx / 2; // Wyrażenie błędu
for(i = 0; i < dx; i++)
{
x1 += kx; // Ruch w kierunku szybkim
e -= dy; // Nowe wyrażenie błędu
if(e < 0)
{
y1 += ky; // Ruch w kierunku wolnym
e += dx;
}
// Rysujemy kolejny piksel
SDL_RenderDrawPoint(r,x1,y1);
}
}
else
{
// Wersja z zamienionymi współrzędnymi
e = dy / 2; // Wyrażenie błędu
for(i = 0; i < dy; i++)
{
y1 += ky; // Ruch w kierunku szybkim
e -= dx; // Nowe wyrażenie błędu
if(e < 0)
{
x1 += kx; // Ruch w kierunku wolnym
e += dy;
}
// Rysujemy kolejny piksel
SDL_RenderDrawPoint(r,x1,y1);
}
}
}
int main(int argc, char* args[])
{
// Inicjujemy SDL
if(SDL_Init(SDL_INIT_VIDEO))
{
cout << "SDL_Init Error: " << SDL_GetError() << endl;
return 1;
}
// Tworzymy okno
SDL_Window * w = SDL_CreateWindow("Bresenham", SDL_WINDOWPOS_CENTERED, SDL_WINDOWPOS_CENTERED, W_W, W_H, 0);
if(!w)
{
cout << "SDL_CreateWindow Error: " << SDL_GetError() << endl;
SDL_Quit();
return 2;
}
// Tworzymy kontekst graficzny
SDL_Renderer * r = SDL_CreateRenderer(w,0,SDL_RENDERER_PRESENTVSYNC);
if(!r)
{
cout << "SDL_CreateRenderer Error: " << SDL_GetError() << endl;
SDL_DestroyWindow(w);
SDL_Quit();
return 3;
}
srand(time(NULL));
// Animacja
SDL_Event event;
while(1)
{
SDL_SetRenderDrawColor(r,rand() % 256,rand() % 256,rand() % 256,255);
SDL_RenderBresenhamLine(r,rand() % W_W,rand() % W_H,rand() % W_W,rand() % W_H);
// Uaktualniamy treść okna na ekranie
SDL_RenderPresent(r);
// Sprawdzamy, czy użytkownik zamyka program
if(SDL_PollEvent(&event) && event.type == SDL_QUIT) break;
}
// Usuwamy kontekst graficzny
SDL_DestroyRenderer(r);
// Usuwamy okno
SDL_DestroyWindow(w);
// Kończymy pracę z SDL2
SDL_Quit();
return 0;
}
|
Na razie nie mamy żadnych korzyści w porównaniu z funkcją biblioteczną SDL_RenderDrawLine(). Dalej pokażemy jednak, jak takie korzyści otrzymać.
Poniższy program pokazuje, jak to zrobić:
C++// Algorytm Bresenhama 3
//----------------------
#include <SDL.h>
#include <iostream>
#include <cstdlib>
#include <ctime>
using namespace std;
// Rozmiar okienka
const int W_W = 640;
const int W_H = 480;
// Funkcja rysuje odcinek algorytmem Bresenhama
//---------------------------------------------
void SDL_RenderBresenhamLine(SDL_Renderer * r, int x1, int y1, int x2, int y2, unsigned p)
{
int dx,dy,kx,ky,e,i;
unsigned mask = 0;
// Przyrosty w osiach x i y
if(x1 <= x2) kx = 1; else kx = -1;
if(y1 <= y2) ky = 1; else ky = -1;
// Odległości pomiędzy punkatami startowym a końcowym wzdłuż osi
dx = x2 - x1; if(dx < 0) dx = -dx;
dy = y2 - y1; if(dy < 0) dy = -dy;
// Rysujemy punkt startowy
mask >>= 1; if(!mask) mask = 0x80000000;
if(p & mask)SDL_RenderDrawPoint(r,x1,y1);
// Wybieramy wersję algorytmu Bresenhama
if(dx >= dy)
{
// Wersja podstawowa
e = dx / 2; // Wyrażenie błędu
for(i = 0; i < dx; i++)
{
x1 += kx; // Ruch w kierunku szybkim
e -= dy; // Nowe wyrażenie błędu
if(e < 0)
{
y1 += ky; // Ruch w kierunku wolnym
e += dx;
}
// Rysujemy kolejny piksel
mask >>= 1; if(!mask) mask = 0x80000000;
if(p & mask)SDL_RenderDrawPoint(r,x1,y1);
}
}
else
{
// Wersja z zamienionymi współrzędnymi
e = dy / 2; // Wyrażenie błędu
for(i = 0; i < dy; i++)
{
y1 += ky; // Ruch w kierunku szybkim
e -= dx; // Nowe wyrażenie błędu
if(e < 0)
{
x1 += kx; // Ruch w kierunku wolnym
e += dy;
}
// Rysujemy kolejny piksel
mask >>= 1; if(!mask) mask = 0x80000000;
if(p & mask)SDL_RenderDrawPoint(r,x1,y1);
}
}
}
int main(int argc, char* args[])
{
// Inicjujemy SDL
if(SDL_Init(SDL_INIT_VIDEO))
{
cout << "SDL_Init Error: " << SDL_GetError() << endl;
return 1;
}
// Tworzymy okno
SDL_Window * w = SDL_CreateWindow("Bresenham", SDL_WINDOWPOS_CENTERED, SDL_WINDOWPOS_CENTERED, W_W, W_H, 0);
if(!w)
{
cout << "SDL_CreateWindow Error: " << SDL_GetError() << endl;
SDL_Quit();
return 2;
}
// Tworzymy kontekst graficzny
SDL_Renderer * r = SDL_CreateRenderer(w,0,SDL_RENDERER_PRESENTVSYNC);
if(!r)
{
cout << "SDL_CreateRenderer Error: " << SDL_GetError() << endl;
SDL_DestroyWindow(w);
SDL_Quit();
return 3;
}
srand(time(NULL));
int x1,y1,x2,y2,dx1,dy1,dx2,dy2,cr,cg,cb,dr,dg,db;
unsigned p = 0xf090f090; // xxxx....x..x....xxxx....x..x....
x1 = rand() % W_W;
x2 = rand() % W_W;
y1 = rand() % W_H;
y2 = rand() % W_H;
do dx1 = -3 + rand() % 7; while(!dx1);
do dx2 = -3 + rand() % 7; while(!dx2);
do dy1 = -3 + rand() % 7; while(!dy1);
do dy2 = -3 + rand() % 7; while(!dy2);
cr = 128 + rand() % 128;
cg = 128 + rand() % 128;
cb = 128 + rand() % 128;
do dr = -3 + rand() % 7; while(!dr);
do dg = -3 + rand() % 7; while(!dg);
do db = -3 + rand() % 7; while(!db);
// Animacja
SDL_Event event;
while(1)
{
// Usuwamy treść poprzedniego okna
SDL_SetRenderDrawColor(r,0,0,0,255);
SDL_RenderClear(r);
// Rysujemy linię
SDL_SetRenderDrawColor(r,cr,cg,cb,255);
SDL_RenderBresenhamLine(r,x1,y1,x2,y2,p);
// Modyfikujemy współrzędne i kolory
if((x1 + dx1 < 0) || (x1 + dx1 >= W_W)) dx1 = -dx1;
if((y1 + dy1 < 0) || (y1 + dy1 >= W_H)) dy1 = -dy1;
if((x2 + dx2 < 0) || (x2 + dx2 >= W_W)) dx2 = -dx2;
if((y2 + dy2 < 0) || (y2 + dy2 >= W_H)) dy2 = -dy2;
x1 += dx1;
y1 += dy1;
x2 += dx2;
y2 += dy2;
if((cr + dr < 128) || (cr + dr > 255)) dr = - dr;
if((cg + dg < 128) || (cg + dg > 255)) dg = - dg;
if((cb + db < 128) || (cb + db > 255)) db = - db;
cr += dr;
cg += dg;
cb += db;
// Uaktualniamy treść okna na ekranie
SDL_RenderPresent(r);
// Sprawdzamy, czy użytkownik zamyka program
if(SDL_PollEvent(&event) && event.type == SDL_QUIT) break;
}
// Usuwamy kontekst graficzny
SDL_DestroyRenderer(r);
// Usuwamy okno
SDL_DestroyWindow(w);
// Kończymy pracę z SDL2
SDL_Quit();
return 0;
}
|
C++// Algorytm Bresenhama 4
//----------------------
#include <SDL.h>
#include <iostream>
#include <cstdlib>
#include <ctime>
using namespace std;
// Rozmiar okienka
const int W_W = 640;
const int W_H = 480;
// Funkcja rysuje odcinek algorytmem Bresenhama
//---------------------------------------------
void SDL_RenderBresenhamLine(SDL_Renderer * r, int x1, int y1, int x2, int y2, unsigned p,
int r1, int g1, int b1, int r2, int g2, int b2)
{
int dx,dy,kx,ky,e,i;
unsigned mask = 0;
// Przyrosty w osiach x i y
if(x1 <= x2) kx = 1; else kx = -1;
if(y1 <= y2) ky = 1; else ky = -1;
// Odległości pomiędzy punkatami startowym a końcowym wzdłuż osi
dx = x2 - x1; if(dx < 0) dx = -dx;
dy = y2 - y1; if(dy < 0) dy = -dy;
// Rysujemy punkt startowy
mask >>= 1; if(!mask) mask = 0x80000000;
if(p & mask) SDL_SetRenderDrawColor(r,r2,g2,b2,255);
else SDL_SetRenderDrawColor(r,r1,g1,b1,255);
SDL_RenderDrawPoint(r,x1,y1);
// Wybieramy wersję algorytmu Bresenhama
if(dx >= dy)
{
// Wersja podstawowa
e = dx / 2; // Wyrażenie błędu
for(i = 0; i < dx; i++)
{
x1 += kx; // Ruch w kierunku szybkim
e -= dy; // Nowe wyrażenie błędu
if(e < 0)
{
y1 += ky; // Ruch w kierunku wolnym
e += dx;
}
// Rysujemy kolejny piksel
mask >>= 1; if(!mask) mask = 0x80000000;
if(p & mask) SDL_SetRenderDrawColor(r,r2,g2,b2,255);
else SDL_SetRenderDrawColor(r,r1,g1,b1,255);
SDL_RenderDrawPoint(r,x1,y1);
}
}
else
{
// Wersja z zamienionymi współrzędnymi
e = dy / 2; // Wyrażenie błędu
for(i = 0; i < dy; i++)
{
y1 += ky; // Ruch w kierunku szybkim
e -= dx; // Nowe wyrażenie błędu
if(e < 0)
{
x1 += kx; // Ruch w kierunku wolnym
e += dy;
}
// Rysujemy kolejny piksel
mask >>= 1; if(!mask) mask = 0x80000000;
if(p & mask) SDL_SetRenderDrawColor(r,r2,g2,b2,255);
else SDL_SetRenderDrawColor(r,r1,g1,b1,255);
SDL_RenderDrawPoint(r,x1,y1);
}
}
}
int main(int argc, char* args[])
{
// Inicjujemy SDL
if(SDL_Init(SDL_INIT_VIDEO))
{
cout << "SDL_Init Error: " << SDL_GetError() << endl;
return 1;
}
// Tworzymy okno
SDL_Window * w = SDL_CreateWindow("Bresenham", SDL_WINDOWPOS_CENTERED, SDL_WINDOWPOS_CENTERED, W_W, W_H, 0);
if(!w)
{
cout << "SDL_CreateWindow Error: " << SDL_GetError() << endl;
SDL_Quit();
return 2;
}
// Tworzymy kontekst graficzny
SDL_Renderer * r = SDL_CreateRenderer(w,0,SDL_RENDERER_PRESENTVSYNC);
if(!r)
{
cout << "SDL_CreateRenderer Error: " << SDL_GetError() << endl;
SDL_DestroyWindow(w);
SDL_Quit();
return 3;
}
srand(time(NULL));
int x1,y1,x2,y2,dx1,dy1,dx2,dy2;
int cr1,cg1,cb1,dr1,dg1,db1;
int cr2,cg2,cb2,dr2,dg2,db2;
unsigned p = 0xffff0000; // xxxxxxxxxxxxxxxx................
x1 = rand() % W_W;
x2 = rand() % W_W;
y1 = rand() % W_H;
y2 = rand() % W_H;
do dx1 = -3 + rand() % 7; while(!dx1);
do dx2 = -3 + rand() % 7; while(!dx2);
do dy1 = -3 + rand() % 7; while(!dy1);
do dy2 = -3 + rand() % 7; while(!dy2);
cr1 = 128 + rand() % 128;
cg1 = 128 + rand() % 128;
cb1 = 128 + rand() % 128;
do dr1 = -3 + rand() % 7; while(!dr1);
do dg1 = -3 + rand() % 7; while(!dg1);
do db1 = -3 + rand() % 7; while(!db1);
cr2 = rand() % 128;
cg2 = rand() % 128;
cb2 = rand() % 128;
do dr2 = -3 + rand() % 7; while(!dr2);
do dg2 = -3 + rand() % 7; while(!dg2);
do db2 = -3 + rand() % 7; while(!db2);
// Animacja
SDL_Event event;
while(1)
{
// Usuwamy treść poprzedniego okna
SDL_SetRenderDrawColor(r,0,0,0,255);
SDL_RenderClear(r);
// Rysujemy linię
SDL_RenderBresenhamLine(r,x1,y1,x2,y2,p,cr1,cg1,cb1,cr2,cg2,cb2);
// Modyfikujemy współrzędne i kolory
if((x1 + dx1 < 0) || (x1 + dx1 >= W_W)) dx1 = -dx1;
if((y1 + dy1 < 0) || (y1 + dy1 >= W_H)) dy1 = -dy1;
if((x2 + dx2 < 0) || (x2 + dx2 >= W_W)) dx2 = -dx2;
if((y2 + dy2 < 0) || (y2 + dy2 >= W_H)) dy2 = -dy2;
x1 += dx1;
y1 += dy1;
x2 += dx2;
y2 += dy2;
if((cr1 + dr1 < 128) || (cr1 + dr1 > 255)) dr1 = - dr1;
if((cg1 + dg1 < 128) || (cg1 + dg1 > 255)) dg1 = - dg1;
if((cb1 + db1 < 128) || (cb1 + db1 > 255)) db1 = - db1;
cr1 += dr1;
cg1 += dg1;
cb1 += db1;
if((cr2 + dr2 < 0) || (cr2 + dr2 > 127)) dr2 = - dr2;
if((cg2 + dg2 < 0) || (cg2 + dg2 > 127)) dg2 = - dg2;
if((cb2 + db2 < 0) || (cb2 + db2 > 127)) db2 = - db2;
cr2 += dr2;
cg2 += dg2;
cb2 += db2;
// Uaktualniamy treść okna na ekranie
SDL_RenderPresent(r);
// Sprawdzamy, czy użytkownik zamyka program
if(SDL_PollEvent(&event) && event.type == SDL_QUIT) break;
}
// Usuwamy kontekst graficzny
SDL_DestroyRenderer(r);
// Usuwamy okno
SDL_DestroyWindow(w);
// Kończymy pracę z SDL2
SDL_Quit();
return 0;
}
|
| Kolor | kolory pośrednie | |||||||||||
| Punkt | 0 | 1 | 2 | 3 | ... | ... | ... | ... | ... | n-3 | n-2 | n-1 |
Problem ten sprowadza się do zmiany składowych kolorów wraz z numerem piksela. W punkcie o numerze 0 mamy składową startową ss. W punkcie o numerze n - 1 powinniśmy otrzymać składową końcową sk. Odpowiedni wzór wyprowadziliśmy w rozdziale poświęconym liniom. Skorzystamy z niego:

| s | – | wynikowa składowa koloru |
| ss | – | składowa koloru piksela startowego |
| sk | – | składowa koloru piksela końcowego |
| i | – | numer rysowanego piksela |
| n | – | liczba pikseli do narysowania |
Wzór ten należy zastosować dla każdej składowej koloru piksela. W programie został on nieco zmodyfikowany, aby dostosować go do algorytmu Bresenhama.
C++// Algorytm Bresenhama 5
//----------------------
#include <SDL.h>
#include <iostream>
#include <cstdlib>
#include <ctime>
using namespace std;
// Rozmiar okienka
const int W_W = 640;
const int W_H = 480;
// Funkcja rysuje odcinek algorytmem Bresenhama
//---------------------------------------------
void SDL_RenderBresenhamLine(SDL_Renderer * r, int x1, int y1, int x2, int y2,
int r1, int g1, int b1, int r2, int g2, int b2)
{
int dx,dy,kx,ky,e,i,cr,cg,cb;
// Przyrosty w osiach x i y
if(x1 <= x2) kx = 1; else kx = -1;
if(y1 <= y2) ky = 1; else ky = -1;
// Odległości pomiędzy punkatami startowym a końcowym wzdłuż osi
dx = x2 - x1; if(dx < 0) dx = -dx;
dy = y2 - y1; if(dy < 0) dy = -dy;
// Rysujemy punkt startowy
SDL_SetRenderDrawColor(r,r1,g1,b1,255);
// Wybieramy wersję algorytmu Bresenhama
if(dx >= dy)
{
// Wersja podstawowa
e = dx / 2; // Wyrażenie błędu
for(i = 1; i <= dx; i++)
{
x1 += kx; // Ruch w kierunku szybkim
e -= dy; // Nowe wyrażenie błędu
if(e < 0)
{
y1 += ky; // Ruch w kierunku wolnym
e += dx;
}
// Wyliczamy składowe koloru piksela
cr = r1 + i * (r2 - r1) / dx;
cg = g1 + i * (g2 - g1) / dx;
cb = b1 + i * (b2 - b1) / dx;
// Ustawiamy kolor piksela
SDL_SetRenderDrawColor(r,cr,cg,cb,255);
// Rysujemy kolejny piksel
SDL_RenderDrawPoint(r,x1,y1);
}
}
else
{
// Wersja z zamienionymi współrzędnymi
e = dy / 2; // Wyrażenie błędu
for(i = 1; i <= dy; i++)
{
y1 += ky; // Ruch w kierunku szybkim
e -= dx; // Nowe wyrażenie błędu
if(e < 0)
{
x1 += kx; // Ruch w kierunku wolnym
e += dy;
}
// Wyliczamy składowe koloru piksela
cr = r1 + i * (r2 - r1) / dy;
cg = g1 + i * (g2 - g1) / dy;
cb = b1 + i * (b2 - b1) / dy;
// Ustawiamy kolor piksela
SDL_SetRenderDrawColor(r,cr,cg,cb,255);
// Rysujemy kolejny piksel
SDL_RenderDrawPoint(r,x1,y1);
}
}
}
|
C++
int main(int argc, char* args[])
{
// Inicjujemy SDL
if(SDL_Init(SDL_INIT_VIDEO))
{
cout << "SDL_Init Error: " << SDL_GetError() << endl;
return 1;
}
// Tworzymy okno
SDL_Window * w = SDL_CreateWindow("Bresenham", SDL_WINDOWPOS_CENTERED, SDL_WINDOWPOS_CENTERED, W_W, W_H, 0);
if(!w)
{
cout << "SDL_CreateWindow Error: " << SDL_GetError() << endl;
SDL_Quit();
return 2;
}
// Tworzymy kontekst graficzny
SDL_Renderer * r = SDL_CreateRenderer(w,0,SDL_RENDERER_PRESENTVSYNC);
if(!r)
{
cout << "SDL_CreateRenderer Error: " << SDL_GetError() << endl;
SDL_DestroyWindow(w);
SDL_Quit();
return 3;
}
srand(time(NULL));
int x1,y1,x2,y2,dx1,dy1,dx2,dy2;
int cr1,cg1,cb1,dr1,dg1,db1;
int cr2,cg2,cb2,dr2,dg2,db2;
x1 = rand() % W_W;
x2 = rand() % W_W;
y1 = rand() % W_H;
y2 = rand() % W_H;
do dx1 = -3 + rand() % 7; while(!dx1);
do dx2 = -3 + rand() % 7; while(!dx2);
do dy1 = -3 + rand() % 7; while(!dy1);
do dy2 = -3 + rand() % 7; while(!dy2);
cr1 = 128 + rand() % 128;
cg1 = 128 + rand() % 128;
cb1 = 128 + rand() % 128;
do dr1 = -3 + rand() % 7; while(!dr1);
do dg1 = -3 + rand() % 7; while(!dg1);
do db1 = -3 + rand() % 7; while(!db1);
cr2 = rand() % 128;
cg2 = rand() % 128;
cb2 = rand() % 128;
do dr2 = -3 + rand() % 7; while(!dr2);
do dg2 = -3 + rand() % 7; while(!dg2);
do db2 = -3 + rand() % 7; while(!db2);
// Animacja
SDL_Event event;
while(1)
{
// Usuwamy treść poprzedniego okna
SDL_SetRenderDrawColor(r,0,0,0,255);
SDL_RenderClear(r);
// Rysujemy linię
SDL_RenderBresenhamLine(r,x1,y1,x2,y2,cr1,cg1,cb1,cr2,cg2,cb2);
// Modyfikujemy współrzędne i kolory
if((x1 + dx1 < 0) || (x1 + dx1 >= W_W)) dx1 = -dx1;
if((y1 + dy1 < 0) || (y1 + dy1 >= W_H)) dy1 = -dy1;
if((x2 + dx2 < 0) || (x2 + dx2 >= W_W)) dx2 = -dx2;
if((y2 + dy2 < 0) || (y2 + dy2 >= W_H)) dy2 = -dy2;
x1 += dx1;
y1 += dy1;
x2 += dx2;
y2 += dy2;
if((cr1 + dr1 < 128) || (cr1 + dr1 > 255)) dr1 = - dr1;
if((cg1 + dg1 < 128) || (cg1 + dg1 > 255)) dg1 = - dg1;
if((cb1 + db1 < 128) || (cb1 + db1 > 255)) db1 = - db1;
cr1 += dr1;
cg1 += dg1;
cb1 += db1;
if((cr2 + dr2 < 0) || (cr2 + dr2 > 127)) dr2 = - dr2;
if((cg2 + dg2 < 0) || (cg2 + dg2 > 127)) dg2 = - dg2;
if((cb2 + db2 < 0) || (cb2 + db2 > 127)) db2 = - db2;
cr2 += dr2;
cg2 += dg2;
cb2 += db2;
// Uaktualniamy treść okna na ekranie
SDL_RenderPresent(r);
// Sprawdzamy, czy użytkownik zamyka program
if(SDL_PollEvent(&event) && event.type == SDL_QUIT) break;
}
// Usuwamy kontekst graficzny
SDL_DestroyRenderer(r);
// Usuwamy okno
SDL_DestroyWindow(w);
// Kończymy pracę z SDL2
SDL_Quit();
return 0;
}
|
Poeksperymentuj z podanymi tutaj programami: ciekawe efekty powstają, jeśli usunie się w nich wymazywanie treści poprzedniego okna.
![]() |
Zespół Przedmiotowy Chemii-Fizyki-Informatyki w I Liceum Ogólnokształcącym im. Kazimierza Brodzińskiego w Tarnowie ul. Piłsudskiego 4 ©2026 mgr Jerzy Wałaszek |
Materiały tylko do użytku dydaktycznego. Ich kopiowanie i powielanie jest dozwolone pod warunkiem podania źródła oraz niepobierania za to pieniędzy.
Pytania proszę przesyłać na adres email:
Serwis wykorzystuje pliki cookies. Jeśli nie chcesz ich otrzymywać, zablokuj je w swojej przeglądarce.
Informacje dodatkowe.