|
Serwis Edukacyjny w I-LO w Tarnowie
Materiały dla uczniów liceum |
Wyjście Spis treści Wstecz Dalej
Autor artykułu: mgr Jerzy Wałaszek |
©2026 mgr Jerzy Wałaszek
|
|
|
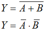
Układ 7428 zawiera cztery dwuwejściowe bramki NOR – sterowniki linii 50Ω (ang. Quadruple 2-input NOR Line Drivers), które realizują funkcję zaprzeczonej sumy logicznej lub iloczynu zaprzeczeń (są to funkcje równoważne, ponieważ wynikają z praw De Morgana):

| A | B | Y |
| 1 | X | 0 |
| X | 1 | 0 |
| 0 | 0 | 1 |
![]() |
| Opis parametru | 54128 | 74128 | Jednostka | |
| VCC | Napięcie zasilania | 4,5...5,5 | 4,75...5,25 | V |
| VIH | Napięcie wejściowe dla stanu 1 | 2 | 2 | V |
| VIL | Napięcie wejściowe dla stanu 0 | 0,8 | 0,8 | V |
| VOH | Napięcie wyjściowe dla stanu 1 | 2,4...3,4 | 2,4...3,4 | V |
| VOL | Napięcie wyjściowe dla stanu 0 | 0,26...0,4 | 0,26...0,4 | V |
| IIH | Prąd wejściowy w stanie 1 | 40 | 40 | µA |
| IIL | Prąd wejściowy w stanie 0 | -1,6 | -1,6 | mA |
| IOH | Prąd wyjściowy w stanie 1 | 29 | -42,4 | mA |
| IOL | Prąd wyjściowy w stanie 0 | 48 | 48 | mA |
| ICCH | Prąd zasilania w stanie wysokim | 12...21 | 12...21 | mA |
| ICCL | Prąd zasilania w stanie niskim | 33..67 | 33..67 | mA |
| TA | Zakres temperatur pracy | -55...125 | 0...70 | °C |
| tPLH | Czas propagacji z 0 na 1 | 6...15 | 6...15 | ns |
| tPHL | Czas propagacji z 1 na 0 | 8...18 | 8...18 | ns |
![]() |
Zespół Przedmiotowy Chemii-Fizyki-Informatyki w I Liceum Ogólnokształcącym im. Kazimierza Brodzińskiego w Tarnowie ul. Piłsudskiego 4 ©2026 mgr Jerzy Wałaszek |
Materiały tylko do użytku dydaktycznego. Ich kopiowanie i powielanie jest dozwolone pod warunkiem podania źródła oraz niepobierania za to pieniędzy.
Pytania proszę przesyłać na adres email:
Serwis wykorzystuje pliki cookies. Jeśli nie chcesz ich otrzymywać, zablokuj je w swojej przeglądarce.
Informacje dodatkowe.