|
Wyjście Spis treści Wstecz Dalej
Autor artykułu |
©2026 mgr Jerzy Wałaszek
|

If you use Microchip copyrighted material solely for educational (non-profit) purposes falling under the “fair use” exception of the U.S. Copyright Act of 1976 then you do not need Microchip’s written permission. For example, Microchip’s
permission is not required when using copyrighted material in:
https://www.microchip.com/about-us/legal-information/copyright-usage-guidelines
Kolejne wykresy pokazują typowe zachowanie się układu. Parametry te nie są testowane podczas produkcji, gdzie testy wykonywane są z częstotliwościami wykraczającymi poza normalne granice, co nie oznacza, iż w normalnych warunkach pracy mikrokontroler również będzie pracował właściwie przy takich częstotliwościach.
Wszystkie pomiary poboru prądu są wykonywane przy konfiguracji wszystkich końcówek do pracy jako wejścia z włączonymi wewnętrznymi opornikami podciągającymi. Pobór prądu jest funkcją kilku czynników takich jak, napięcie pracy, częstotliwość robocza, obciążenie końcówek we/wy, częstotliwość przełączania poziomów logicznych na końcówkach we/wy, wykonywany kod i temperatura otoczenia. Dominującymi czynnikami są napięcie zasilania i częstotliwość pracy.
Jako źródło zegarowe używany jest generator sinusoidalny z wyjściem typu rail-to-rail (napięcie wyjściowe oscyluje pomiędzy GND a VCC), lecz bieżący pobór prądu w trybie wyłączenia zasilania (ang. Power-Down mode) jest niezależny od wyboru zegara. Różnica pomiędzy bieżącym poborem prądu w trybie wyłączenia zasilania z uruchomionym licznikiem zegarowym (ang. Watchdog Timer) oraz w tym samym trybie bez uruchomionego licznika zegarowego reprezentuje prąd różnicowy pobierany przez ten licznik.
Prąd pobierany z końcówek przy obciążeniu pojemnościowym można oszacować (dla jednej końcówki) następująco:
![]() |
| gdzie:
VCC = napięcie pracy,
CL = pojemność obciążenia, fSW = średnia częstotliwość przełączania stanów logicznych na końcówce we/wy. |
Dodatkowy pobór prądu przez różne moduły we/wy (wartości bezwzględne)
| Bit PRR | Typowe wartości | ||
| VCC = 2V, f = 1MHz | VCC = 3V, f = 4MHz | VCC = 5V, f = 8MHz | |
| PRTIM1 | 5,1 μA | 31,0 μA | 118,2 μA |
| PRTIM0 | 6,6 μA | 40,0 μA | 153,0 μA |
| PRUSI | 3,7 μA | 23,1 μA | 92,2 μA |
| PRADC | 29,6 μA | 88,3 μA | 333,3 μA |
Tabela poniżej może zostać wykorzystana do wyliczenia typowego poboru prądu przy innych napięciach zasilania i innych częstotliwościach niż te, dla których ułożono poprzednią tabelę.
Dodatkowy pobór prądu (procentowo) w trybach czynnym i bezczynnym
| Bit PRR | Dodatkowy pobór prądu w trybie czynnym z zegarem zewnętrznym |
Dodatkowy pobór prądu w trybie bezczynnym z zegarem zewnętrznym |
| PRTIM1 | 1,8 % | 8,0 % |
| PRTIM0 | 2,3 % | 10,4 % |
| PRUSI | 1,4 % | 6,1 % |
| PRADC | 6,7 % | 28,8 % |
Obliczyć oczekiwany pobór prądu w trybie bezczynnym z aktywnymi modułami USI (uniwersalny interfejs szeregowy), TIMER0 (timer licznik 0) i ADC (przetwornik A/C) przy VCC = 2.0V i f = 1MHz. W pierwszej tabelce i w jej trzeciej kolumnie widzimy, że musimy dodać 6,1% dla modułu USI, 10,4% dla TIMER0 i 28,8% dla przetwornika A/C. Na wykresie rys.6 znajdujemy, że pobór prądu w trybie bezczynnym przy 2V i 1MHz wynosi około 0,04mA. Stąd całkowity pobór prądu w trybie bezczynnym z włączonymi modułami USI, TIMER0 i ADC wyniesie
| ICCTOT ≈ 0,04mA · (1 + 0,061 + 0,104 + 0,288) ≈ 0,06mA |
Rys.1. Prąd
trybu czynnego w funkcji niskiej częstotliwości (0,1 - 1,0
MHz)

Rys 2..
Prąd trybu czynnego w funkcji częstotliwości (1 - 20 MHz)

Rys 3..
Prąd trybu czynnego w funkcji VCC (Wewnętrzny
oscylator RC,8 MHz)

Rys 4. Prąd
trybu czynnego w funkcji VCC (Wewnętrzny oscylator
RC,1 MHz)

Rys 5. Prąd
trybu czynnego w funkcji VCC (Wewnętrzny oscylator
RC,128 kHz)

Rys.6. Prąd
trybu bezczynnego w funkcji niskiej częstotliwości (0,1 - 1,0
MHz)

Rys 7..
Prąd trybu bezczynnego w funkcji częstotliwości (1 - 20 MHz)

Rys 8..
Prąd trybu bezczynnego w funkcji VCC (Wewnętrzny
oscylator RC,8 MHz)

Rys 9. Prąd
trybu bezczynnego w funkcji VCC (Wewnętrzny
oscylator RC,1 MHz)

Rys 10.
Prąd trybu bezczynnego w funkcji VCC (Wewnętrzny
oscylator RC,128 kHz)

Rys 11.
Prąd trybu wyłączenia w funkcji VCC (Timer licznika
zegarowego wyłączony)

Rys 12.
Prąd trybu wyłączenia w funkcji VCC (Timer licznika
zegarowego włączony)

Rys 13.
Prąd trybu gotowości w funkcji VCC (Zewnętrzny
kwarc 4 MHz, timer licznika zegarowego wyłączony)

Rys 14.
Prąd opornika podciągającego końcówki we/wy w funkcji napięcia wejściowego
(VCC = 1,8 V)

Rys 15.
Prąd opornika podciągającego końcówki we/wy w funkcji napięcia wejściowego
(VCC = 2,7 V)

Rys 16.
Prąd opornika podciągającego końcówki we/wy w funkcji napięcia wejściowego
(VCC = 5 V)

Rys 17.
Prąd opornika podciągającego w funkcji napięcia końcówki
RESET (VCC
= 1,8 V)

Rys 18.
Prąd opornika podciągającego w funkcji napięcia końcówki
RESET (VCC
= 2,7 V)

Rys 19.
Prąd opornika podciągającego w funkcji napięcia końcówki
RESET (VCC
= 5 V)

Rys 20.
Napięcie wyjściowe końcówki we/wy w funkcji prądu wpływającego
(VCC = 3 V)

Rys 21.
Napięcie wyjściowe końcówki we/wy w funkcji prądu wpływającego
(VCC = 5 V)

Rys 22.
Napięcie wyjściowe końcówki we/wy w funkcji prądu wypływającego
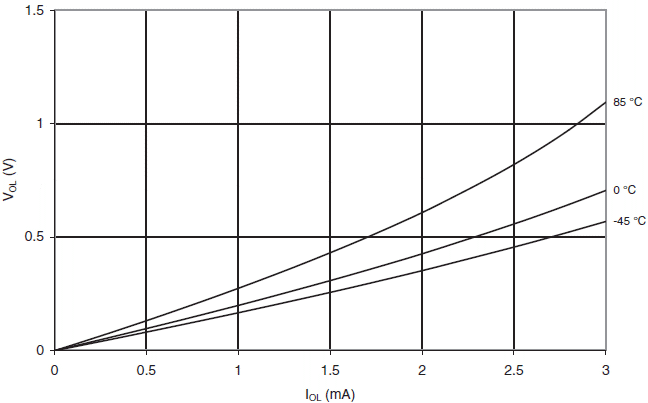
(VCC = 3 V)

Rys 23.
Napięcie wyjściowe końcówki we/wy w funkcji prądu wypływającego
(VCC = 5 V)

Rys 24.
Napięcie wyjściowe końcówki RESET
w funkcji prądu wpływającego (VCC = 3 V)

Rys 25.
Napięcie wyjściowe końcówki RESET
w funkcji prądu wpływającego (VCC = 5 V)

Rys 26.
Napięcie wyjściowe końcówki RESET
w funkcji prądu wypływającego (VCC = 3 V)

Rys 27.
Napięcie wyjściowe końcówki RESET
w funkcji prądu wypływającego (VCC = 5 V)

Rys 28.
Wejściowe napięcie progowe końcówki we/wy w funkcji VCC
(VIH, końcówka we/wy odczytywana jako "1")

Rys 29.
Wejściowe napięcie progowe końcówki we/wy w funkcji VCC
(VIL, końcówka we/wy odczytywana jako "0")

Rys 30.
Histereza wejściowa końcówki we/wy w funkcji VCC

Rys 31.
Wejściowe napięcie progowe końcówki
RESET
w funkcji VCC (VIH, końcówka we/wy
odczytywana jako "1")

Rys 32.
Wejściowe napięcie progowe końcówki
RESET
w funkcji VCC (VIL, końcówka we/wy
odczytywana jako "0")

Rys 33.
Histereza wejściowa końcówki RESET
w funkcji VCC

Rys 34.
Histereza wejściowa końcówki RESET
w funkcji VCC (końcówka
RESET jako we/wy)

Rys 35.
Próg BOD w funkcji temperatury (BODLEVEL wynosi 4,3V)

Rys 36.
Próg BOD w funkcji temperatury (BODLEVEL wynosi 2,7V)

Rys 37.
Próg BOD w funkcji temperatury (BODLEVEL wynosi 1,8V)

Rys 38.
Częstotliwość oscylatora licznika zegarowego w funkcji VCC

Rys 39.
Częstotliwość oscylatora licznika zegarowego w funkcji temperatury

Rys 40.
Częstotliwość oscylatora kalibrowanego w funkcji VCC

Rys 41.
Częstotliwość oscylatora kalibrowanego w funkcji temperatury

Rys 42.
Częstotliwość kalibrowanego oscylatora RC 8MHz w funkcji wartości OSCAL

Rys 43.
Prąd przetwornika A/C w funkcji VCC (częstotliwość
4MHz)

Rys 44.
Prąd końcówki AREF zewnętrznego napięcia odniesienia w funkcji VCC

Rys 45.
Prąd komparatora analogowego w funkcji VCC

Rys 46.
Prąd programowania w funkcji VCC (ATtiny24)

Rys 47.
Prąd programowania w funkcji VCC (ATtiny44)

Rys 48.
Prąd programowania w funkcji VCC (ATtiny84)

Rys 49.
Prąd detektora spadku napięcia zasilania w funkcji VCC

Rys 50.
Prąd timera licznika zegarowego w funkcji VCC

Rys 51.
Prąd zasilania przy resecie w funkcji VCC (0,1 - 1
MHz, z wyłączeniem prądu opornika podciągającego)

Rys 52.
Prąd zasilania przy resecie w funkcji VCC
(1 - 20 MHz, z wyłączeniem prądu opornika podciągającego)

Rys 53.
Minimalna szerokość impulsu resetu w funkcji VCC
(1 - 20 MHz, z wyłączeniem prądu opornika
podciągającego)

![]() |
Zespół Przedmiotowy Chemii-Fizyki-Informatyki w I Liceum Ogólnokształcącym im. Kazimierza Brodzińskiego w Tarnowie ul. Piłsudskiego 4 ©2026 mgr Jerzy Wałaszek |
Materiały tylko do użytku dydaktycznego. Ich kopiowanie i powielanie jest dozwolone pod warunkiem podania źródła oraz niepobierania za to pieniędzy.
Pytania proszę przesyłać na adres email:
Serwis wykorzystuje pliki cookies. Jeśli nie chcesz ich otrzymywać, zablokuj je w swojej przeglądarce.
Informacje dodatkowe.