|
Serwis Edukacyjny w I-LO w Tarnowie
Materiały dla uczniów liceum |
Wyjście Spis treści Wstecz Dalej
Autor artykułu: mgr Jerzy Wałaszek |
©2026 mgr Jerzy Wałaszek
|
ProblemNależy zaprojektować efektywną strukturę danych dla zbiorów rozłącznych. Struktura zbiorów rozłącznych (ang. disjoint sets structure) umożliwia przechowywanie informacji o przynależności elementów do różnych zbiorów, które są rozłączne (tzn. nie posiadają wspólnych elementów). Dotychczas zaprezentowaliśmy dwa rozwiązania tej struktury: w tablicy oraz za pomocą list. Istnieje trzeci sposób oparty na drzewach. |
Zbiory rozłączne odwzorowujemy za pomocą lasu (ang. forest) prostych drzew. Reprezentantem zbioru jest korzeń drzewa (ang. root node). Każdy węzeł zawiera pole up wskazujące rodzica (w wielu implementacjach pole to nosi nazwę parent, czyli rodzic; my zachowujemy zgodność z podanymi wcześniej informacjami). Korzeń drzewa wskazuje na siebie samego.
Uwaga: korzeń oraz pozostałe węzły mogą posiadać dowolną liczbę potomków, to nie są drzewa binarne!
![]() |
→ |
![]() |
Zdefiniujmy trzy podstawowe operacje w tej strukturze danych:
find_set(x)
union_sets(x, y)
K01: (x→up) ← x ; rodzicem korzenia jest korzeń K02: Zakończ
K01: p ← x K02: Dopóki p→up ≠ p, ; idziemy w kierunku korzenia wykonuj: p ← p→up K03: Zakończ z wynikiem p ; zwracamy adres korzenia
K01: rx ← find_set(x) ; odnajdujemy korzeń drzewa z węzłem x K02: ry ← find_set(y) ; odnajdujemy korzeń drzewa z węzłem y K03: Jeśli rx = ry, ; korzenie muszą być różne to zakończ K04: ry→up ← rx ; dołączamy drzewo z y do korzenia drzewa z x K05: Zakończ
|
Uwaga: Zanim uruchomisz program, przeczytaj wstęp do tego artykułu, w którym wyjaśniamy funkcje tych programów oraz sposób korzystania z nich. |
| Program tworzy 10 drzew jednowęzłowych, a następnie losuje 10 razy pary węzłów. Dla wylosowanych węzłów wykonywana jest operacja union_sets, co powoduje połączenie drzew z tymi węzłami. Na końcu wypisana zostaje przynależność każdego elementu do określonego podzbioru, liczba podzbiorów oraz zawartość tych podzbiorów. |
Pascal// Struktura zbiorów rozłącznych
// Data: 31.03.2014
// (C)2014 mgr Jerzy Wałaszek
//-----------------------------
// Liczba węzłów
const N = 10;
// Węzeł
type
PTnode = ^Tnode;
Tnode = record
// Rodzic węzła
up : PTnode;
// Zawartość węzła
Data: integer;
end;
// Tworzy drzewo jednowęzłowe
//---------------------------
procedure make_set(x : PTnode);
begin
// x staje się korzeniem drzewa
x^.up := x;
end;
// Zwraca korzeń drzewa
//---------------------
function find_set(x : PTnode) : PTnode;
var
p : PTnode;
begin
p := x;
// Idziemy w kierunku korzenia drzewa
while p^.up <> p do p := p^.up;
// Zwracamy adres korzenia
find_set := p;
end;
// Dołącza korzeń drzewa y do korzenia drzewa x
//---------------------------------------------
procedure union_sets(x, y : PTnode);
var
rx, ry : PTnode;
begin
// Wyznaczamy korzeń drzewa z węzłem x
rx := find_set(x);
// Wyznaczamy korzeń drzewa z węzłem y
ry := find_set(y);
// Korzenie muszą być różne
if rx <> ry then
// Korzeniem drzewa y staje się korzeń drzewa x
ry^.up := rx;
end;
// **********************
// *** PROGRAM GŁÓWNY ***
// **********************
var
Z : array [0..N-1] of Tnode;
p : PTnode;
i, j, x, y, c : integer;
begin
Randomize;
for i := 0 to N-1 do
begin
// Węzły numerujemy kolejno
Z[i].Data:= i;
// i tworzymy z nich jednowęzłowe drzewa
make_set(addr(Z[i]));
end;
for i := 1 to 10 do
begin
// Losujemy dwa węzły
x := random(N);
y := random(N);
// Łączymy drzewa z wylosowanymi węzłami
union_sets(addr(Z[x]), addr(Z[y]));
end;
// Wypisujemy wyniki
// Licznik podzbiorów
c := 0;
for i := 0 to N-1 do
begin
x := find_set(addr(Z [i]))^.data;
if x = i then inc(c);
writeln(i, ' is in set ', x);
end;
writeln;
writeln('Numeber of sets = ', c);
writeln;
for i := 0 to N-1 do
begin
p := find_set(addr(Z[i]));
if p^.data = i then
begin
write('Set ', i, ' : ');
for j := 0 to N-1 do
if p = find_set(addr(Z[j])) then
write(j, ' ');
writeln;
end;
end;
end.
|
C++// Struktura zbiorów rozłącznych
// Data: 31.03.2014
// (C)2014 mgr Jerzy Wałaszek
//------------------------------
#include <iostream>
#include <cstdlib>
#include <ctime>
using namespace std;
// Liczba węzłów
const int N = 10;
// Węzeł
struct Tnode
{
// Rodzic węzła
Tnode *up;
// Zawartość węzła
int data;
};
// Tworzy drzewo jednowęzłowe
//---------------------------
void make_set(Tnode * x)
{
// x staje się korzeniem drzewa
x->up = x;
}
// Zwraca korzeń drzewa
//---------------------
Tnode * find_set(Tnode * x)
{
Tnode * p;
// Idziemy w kierunku korzenia drzewa
for(p = x; p->up != p; p = p->up);
// Zwracamy adres korzenia
return p;
}
// Dołącza korzeń drzewa y
// do korzenia drzewa x
//------------------------
void union_sets(Tnode * x, Tnode * y)
{
Tnode *rx, *ry;
// Wyznaczamy korzeń drzewa z węzłem x
rx = find_set(x);
// Wyznaczamy korzeń drzewa z węzłem y
ry = find_set(y);
// Korzenie muszą być różne
if(rx != ry)
// Korzeniem drzewa y
// staje się korzeń drzewa x
ry->up = rx;
}
// **********************
// *** PROGRAM GŁÓWNY ***
// **********************
int main()
{
Tnode Z[N], *p;
int i, j, x, y, c;
srand(time(NULL));
for(i = 0; i < N; i++)
{
// Węzły numerujemy kolejno
Z[i].data = i;
// i tworzymy z nich
// drzewa jednowęzłowe
make_set(&Z[i]);
}
for(i = 0; i < N; i++)
{
// Losujemy dwa węzły
x = rand() % N;
y = rand() % N;
// Łączymy drzewa
// z wylosowanymi węzłami
union_sets(&Z[x],&Z[y]);
}
// Wypisujemy wyniki
// Licznik podzbiorów
c = 0;
for(i = 0; i < N; i++)
{
x = find_set(&Z[i])->data;
if(x == i) c++;
cout << i << " is in set " << x << endl;
}
cout << endl << "Numeber of sets = "
<< c << endl << endl;
for(i = 0; i < N; i++)
{
p = find_set(&Z[i]);
if(p->data == i)
{
cout << "Set " << i << ": ";
for(j = 0; j < N; j++)
if(p == find_set(&Z[j]))
cout << j << " ";
cout << endl;
}
}
return 0;}
|
Basic' Struktura zbiorów rozłącznych
' Data: 31.03.2014
' (C)2014 mgr Jerzy Wałaszek
'------------------------------
' Liczba węzłów
const N = 10
' Węzeł
Type Tnode
' Rodzic węzła
up As Tnode Ptr
' Zawartość węzła
data As Integer
End Type
' Tworzy drzewo jednowęzłowe
'---------------------------
Sub make_set(ByVal x As Tnode Ptr)
' x staje się korzeniem drzewa
x->up = x
End Sub
' Zwraca korzeń drzewa
'---------------------
Function find_set(ByVal x As Tnode Ptr) _
As Tnode Ptr
Dim As Tnode Ptr p
p = x
' Idziemy w kierunku korzenia drzewa
While p->up <> p
p = p->up
Wend
' Zwracamy adres korzenia
Return p
End Function
' Dołącza korzeń drzewa y
' do korzenia drzewa x
'------------------------
Sub union_sets(ByVal x As Tnode Ptr, _
ByVal y As Tnode Ptr)
Dim As Tnode Ptr rx, ry
' Wyznaczamy korzeń drzewa z węzłem x
rx = find_set(x)
' Wyznaczamy korzeń drzewa z węzłem y
ry = find_set(y)
' Korzenie muszą być różne
If rx <> ry Then
' Korzeniem drzewa y
' staje się korzeń drzewa x
ry->up = rx
End If
End Sub
' **********************
' *** PROGRAM GŁÓWNY ***
' **********************
Dim As Tnode Z(N)
Dim As Tnode Ptr p
Dim As Integer i, j, x, y, c
Randomize
For i = 0 To N-1
' Węzły numerujemy kolejno
Z(i).data = i
' i tworzymy z nich
' drzewa jednowęzłowe
make_set(VarPtr(Z(i)))
Next
For i = 0 To N-1
' Losujemy dwa węzły
x = Int(Rnd * N)
y = Int(Rnd * N)
' Łączymy drzewa z wylosowanymi węzłami
union_sets(VarPtr(Z(x)), VarPtr(Z(y)))
Next
' Wypisujemy wyniki
' Licznik podzbiorów
c = 0
For i = 0 To N-1
x = find_set(VarPtr(Z(i)))->Data
If x = i Then c += 1
Print i;" is in set";x
Next
Print
Print "Numeber of sets =";c
Print
For i = 0 To N-1
p = find_set(VarPtr(Z(i)))
If p->data = i Then
Print "Set";i;":";
For j = 0 To N-1
If p = find_set(VarPtr(Z(j))) Then _
Print j;
Next
Print
End If
Next
End
|
| Python (dodatek) |
# Struktura zbiorów rozłącznych
# Data: 19.08.2024
# (C)2024 mgr Jerzy Wałaszek
#------------------------------
import random
# Liczba węzłów
N = 10
# Węzeł
class Tnode:
def __init__(self, d):
# Rodzic węzła
self.up = None
# Zawartość węzła
self.data = d
# Tworzy drzewo jednowęzłowe
#---------------------------
def make_set(x):
# x staje się korzeniem drzewa
x.up = x
# Zwraca korzeń drzewa
#---------------------
def find_set(x):
p = x
# Idziemy w kierunku korzenia drzewa
while p.up is not p:
p = p.up
# Zwracamy adres korzenia
return p
# Dołącza korzeń drzewa y
# do korzenia drzewa x
#------------------------
def union_sets(x,y):
# Wyznaczamy korzeń drzewa z węzłem x
rx = find_set(x)
# Wyznaczamy korzeń drzewa z węzłem y
ry = find_set(y)
# Korzenie muszą być różne
if rx is not ry:
# Korzeniem drzewa y
# staje się korzeń drzewa x
ry.up = rx
# **********************
# *** PROGRAM GŁÓWNY ***
# **********************
Z = [Tnode(i) for i in range(N)]
# tworzymy drzewa jednowęzłowe
for i in range(N):
make_set(Z[i])
for i in range(N):
# Losujemy dwa węzły
x = random.randrange(N)
y = random.randrange(N)
# Łączymy drzewa
# z wylosowanymi węzłami
union_sets(Z[x], Z[y])
# Wypisujemy wyniki
# Licznik podzbiorów
c = 0
for i in range(N):
x = find_set(Z[i]).data
if x == i: c += 1
print(i,"is in set",x)
print()
print("Numeber of sets =",c)
print()
for i in range(N):
p = find_set(Z[i])
if p.data == i:
print("Set", i, ":", end=" ")
for j in range(N):
if p is find_set(Z[j]):
print(j, end=" ")
print()
|
| Wynik: |
0 is in set 1 1 is in set 1 2 is in set 2 3 is in set 1 4 is in set 8 5 is in set 1 6 is in set 1 7 is in set 8 8 is in set 8 9 is in set 9 Numeber of sets = 4 Set 1 : 0 1 3 5 6 Set 2 : 2 Set 8 : 4 7 8 Set 9 : 9 |
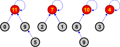
Pokażemy teraz, jak usprawnić naszą strukturę zbiorów rozłącznych. Najpierw zajmijmy się operacją find_set(x). Operacja ta zwraca adres korzenia drzewa, które zawiera testowany węzeł x. Wymaga to przejścia przez kolejne węzły nadrzędne w strukturze drzewa. Zmienimy ją zatem, tak aby w trakcie przechodzenia przez te węzły ustawiała w ich polach up adres korzenia:

Operacji tej nie da się efektywnie przeprowadzić w jednym wywołaniu funkcji find_set( ). Będzie ona realizowana stopniowo. Jeśli wywołamy find_set(x), to ustawi ona pola up na korzeń drzewa w węźle x oraz we wszystkich jego węzłach nadrzędnych, przez które przejdzie w drodze do korzenia. Węzły potomne węzła x pozostaną niezmienione.

Zysk pojawi się w kolejnych wywołaniach find_set( ). Jak widać na powyższym rysunku, po wykonaniu find_set(C) kolejne wykonania funkcji find_set(C) i find_set(B) będą już szybsze (wykonają się w czasie stałym). Także szybsze będzie teraz wykonanie find_set(D), które również ustawi w węźle D pole up na korzeń drzewa. Operację taką nazywamy kompresją ścieżki (ang. path compression).
Drugie usprawnienie dotyczy operacji union_sets( ). Dodajmy do każdego węzła nowe pole o nazwie rank (ang. poziom, ranga, stopień). Gdy drzewo jest tworzone, pole rank przyjmuje wartość 0. Teraz operacja union_sets(x, y) porównuje pola rank obu drzew z węzłami x i y. Jeśli ranga drzewa x jest większa od rangi drzewa y, to drzewo y (jako "niższe w randze") zostaje dołączone do drzewa x. W przeciwnym razie następuje dołączenie odwrotne: do korzenia drzewa y dołączane jest drzewo x, a pole rank drzewa y zostaje zwiększone o 1 (awansuje w randze). Innymi słowy: zawsze przy łączeniu dwóch drzew korzeń "mniejszego" drzewa zostaje dołączony do korzenia drzewa "większego". Działanie to gwarantuje nam, iż wysokość drzew nie będzie niekontrolowanie rosnąć.

K01: x→up ← x ; rodzicem korzenia jest korzeń K02: x→rank ← 0 ; zerujemy rangę K03: Zakończ
K01: Jeśli x→up ≠ x, ; jeśli x nie jest korzeniem, to x→up ← find_set(x→up) ; to wywołujemy funkcję ; rekurencyjnie i ustawiamy pole up na korzeń K02: Zakończ z wynikiem x→up ; zwracamy adres korzenia
K01: rx ← find_set(x) ; odnajdujemy korzeń drzewa z węzłem x K02: ry ← find_set(y) ; odnajdujemy korzeń drzewa z węzłem y K03: Jeśli rx = ry, ; korzenie muszą być różne to zakończ K04: Jeśli rx→rank > ry→rank, ; sprawdzamy rangi korzeni drzew to ry→up ← rx i zakończ ; i jeśli ranga rx jest większa, ; to do drzewa rx (większego) dołączamy drzewo ry (mniejsze) ; i kończymy K05: rx→up ← ry ; w przeciwnym razie dołączamy drzewo rx ; do drzewa ry K06: Jeśli rx→rank = ry→rank, ; jeśli rangi są równe, to ry→rank ← ry→rank+1 ; to zwiększamy rangę drzewa y, ; gdyż stało się ono teraz większe K07: Zakończ
|
Uwaga: Zanim uruchomisz program, przeczytaj wstęp do tego artykułu, w którym wyjaśniamy funkcje tych programów oraz sposób korzystania z nich. |
| Program tworzy 10 drzew jednowęzłowych, a następnie losuje 10 razy pary węzłów. Dla wylosowanych węzłów wykonywana jest operacja union_sets( ), co powoduje połączenie drzew z tymi węzłami. Na końcu wypisana zostaje przynależność każdego elementu do określonego podzbioru, liczba podzbiorów oraz zawartość tych podzbiorów z ich rangą. |
Pascal// Struktura zbiorów rozłącznych
// Data: 1.04.2014
// (C)2014 mgr Jerzy Wałaszek
//------------------------------
// Liczba węzłów
const N = 10;
// Węzeł
type
PTnode = ^Tnode;
Tnode = record
up : PTnode; // Rodzic węzła
rank : integer; // Ranga
Data: integer; // Zawartość węzła
end;
// Tworzy drzewo jednowęzłowe
//---------------------------
procedure make_set(x : PTnode);
begin
// x staje się korzeniem drzewa
x^.up := x;
// Rangę zerujemy
x^.rank := 0;
end;
// Zwraca korzeń drzewa i ustawia
// pola up wszystkich węzłów
// nadrzędnych aż do korzenia
//-------------------------------
function find_set(x : PTnode)
: PTnode;
begin
if x^.up <> x then
x^.up := find_set(x^.up);
find_set := x^.up;
end;
// Łączy ze sobą drzewa z x i z y
//-------------------------------
procedure union_sets(x, y : PTnode);
var
rx, ry : PTnode;
begin
// Wyznaczamy korzeń drzewa
// z węzłem x
rx := find_set(x);
// Wyznaczamy korzeń drzewa
// z węzłem y
ry := find_set(y);
// Korzenie muszą być różne
if rx <> ry then
begin
// Porównujemy rangi drzew
if rx^.rank > ry^.rank then
// rx większe, dołączamy ry
ry^.up := rx
else
begin
// równe lub ry większe,
// dołączamy rx
rx^.up := ry;
if rx^.rank = ry^.rank then
inc(ry^.rank);
end;
end;
end;
// **********************
// *** PROGRAM GŁÓWNY ***
// **********************
var
Z : array [0..N-1] of Tnode;
p : PTnode;
i, j, x, y, c : integer;
begin
Randomize;
for i := 0 to N-1 do
begin
// Węzły numerujemy kolejno
Z[i].Data:= i;
// i tworzymy z nich
// jednowęzłowe drzewa
make_set(addr(Z[i]));
end;
for i := 1 to 10 do
begin
// Losujemy dwa węzły
x := random(N);
y := random(N);
// Łączymy drzewa
// z wylosowanymi węzłami
union_sets(addr(Z[x]), addr(Z[y]));
end;
// Wypisujemy wyniki
// Licznik podzbiorów
c := 0;
for i := 0 to N-1 do
begin
x := find_set(addr(Z[i]))^.data;
if x = i then inc(c);
writeln(i, ' is in set ', x);
end;
writeln;
writeln('Numeber of sets = ', c);
writeln;
for i := 0 to N-1 do
begin
p := find_set(addr(Z[i]));
if p^.data = i then
begin
write('Set ', i, ' rank = ',
p^.rank, ' : ');
for j := 0 to N-1 do
if p = find_set(addr(Z[j])) then
write(j, ' ');
writeln;
end;
end;
readln;
end.
|
C++// Struktura zbiorów rozłącznych
// Data: 1.04.2014
// (C)2014 mgr Jerzy Wałaszek
//------------------------------
#include <iostream>
#include <cstdlib>
#include <ctime>
using namespace std;
const int N = 10; // Liczba węzłów
// Węzeł
struct Tnode
{
Tnode * up; // Rodzic węzła
int rank; // Ranga
int data; // Zawartość węzła
};
// Tworzy drzewo jednowęzłowe
//---------------------------
void make_set(Tnode * x)
{
// x staje się korzeniem drzewa
x->up = x;
// Rangę zerujemy
x->rank = 0;
}
// Zwraca korzeń drzewa i ustawia
// pola up wszystkich węzłów
// nadrzędnych aż do korzenia
//-------------------------------
Tnode * find_set(Tnode * x)
{
if(x->up != x)
x->up = find_set(x->up);
return x->up;
}
// Łączy ze sobą drzewa z x i z y
//-------------------------------
void union_sets(Tnode *x,
Tnode *y)
{
Tnode *rx, *ry;
// Wyznaczamy korzeń drzewa
// z węzłem x
rx = find_set(x);
// Wyznaczamy korzeń drzewa
// z węzłem y
ry = find_set(y);
// Korzenie muszą być różne
if(rx != ry)
{
// Porównujemy rangi drzew
if(rx->rank > ry->rank)
// rx większe, dołączamy ry
ry->up = rx;
else
{
// równe lub ry większe,
// dołączamy rx
rx->up = ry;
if(rx->rank == ry->rank)
ry->rank++;
}
}
}
// **********************
// *** PROGRAM GŁÓWNY ***
// **********************
int main()
{
Tnode Z[N], *p;
int i, j, x, y, c;
srand (time(NULL));
for(i = 0; i < N; i++)
{
// Węzły numerujemy kolejno
Z[i].data = i;
// i tworzymy z nich
// jednowęzłowe drzewa
make_set(&Z[i]);
}
for(i = 0; i < N; i++)
{
// Losujemy dwa węzły
x = rand() % N;
y = rand() % N;
// Łączymy drzewa
// z wylosowanymi węzłami
union_sets(&Z[x], &Z[y]);
}
// Wypisujemy wyniki
// Licznik podzbiorów
c = 0;
for(i = 0; i < N; i++)
{
x = find_set(&Z[i])->data;
if(x == i) c++;
cout << i << " is in set "
<< x << endl;
}
cout << endl
<< "Numeber of sets = " << c
<< endl << endl;
for(i = 0; i < N; i++)
{
p = find_set(&Z[i]);
if(p->data == i)
{
cout << "Set " << i
<< " rank = " << p->rank
<< ": ";
for(j = 0; j < N; j++)
if(p == find_set(&Z[j]))
cout << j << " ";
cout << endl;
}
}
return 0;
}
|
Basic' Struktura zbiorów rozłącznych
' Data: 1.04.2014
' (C)2014 mgr Jerzy Wałaszek
'------------------------------
const N = 10 ' Liczba węzłow
' Węzeł
Type Tnode
up As Tnode Ptr ' Rodzic węzła
rank As Integer ' Ranga
Data As Integer ' Zawartość węzła
End Type
' Tworzy drzewo jednowęzłowe
'---------------------------
Sub make_set(ByVal x As Tnode Ptr)
' x staje się korzeniem drzewa
x->up = x
x->rank = 0 ' Rangę zerujemy
End Sub
' Zwraca korzeń drzewa i ustawia
' pola up wszystkich węzłów nadrzędnych
' aż do korzenia
'--------------------------------------
Function find_set(ByVal x As Tnode Ptr) _
As Tnode Ptr
If x->up <> x Then _
x->up = find_set(x->up)
return x->up
End Function
' Łączy ze sobą drzewa z x i z y
'-------------------------------
Sub union_sets(ByVal x As Tnode Ptr, _
ByVal y As Tnode Ptr)
Dim As Tnode Ptr rx, ry
' Wyznaczamy korzeń drzewa z węzłem x
rx = find_set(x)
' Wyznaczamy korzeń drzewa z węzłem y
ry = find_set(y)
' Korzenie muszą być różne
If rx <> ry Then
' Porównujemy rangi drzew
If rx->rank > ry->rank Then
' rx większe, dołączamy ry
ry->up = rx
Else
' równe lub ry większe,
' dołączamy rx
rx->up = ry
If rx->rank = ry->rank Then _
ry->rank += 1
End If
End If
End Sub
' **********************
' *** PROGRAM GŁÓWNY ***
' **********************
Dim As Tnode Z(N)
Dim As Tnode Ptr p
Dim As Integer i, j, x, y, c
Randomize
For i = 0 To N-1
' Węzły numerujemy kolejno
Z(i).data = i
' i tworzymy z nich jednowęzłowe drzewa
make_set(VarPtr(Z(i)))
Next
For i = 0 To N-1
' Losujemy dwa węzły
x = Int(Rnd * N)
y = Int(Rnd * N)
' Łączymy drzewa z wylosowanymi węzłami
union_sets(VarPtr(Z(x)), VarPtr(Z(y)))
Next
' Wypisujemy wyniki
c = 0 ' Licznik podzbiorów
For i = 0 To N-1
x = find_set(VarPtr(Z(i)))->Data
If x = i Then c += 1
Print i;" is in set";x
Next
Print
Print "Numeber of sets =";c
Print
For i = 0 To N-1
p = find_set(VarPtr(Z(i)))
If p->data = i Then
Print "Set";i;" rank =";p->rank;":";
For j = 0 To N-1
If p = find_set(VarPtr(Z(j))) Then _
Print j;
Next
Print
End If
Next
End
|
| Python (dodatek) |
# Struktura zbiorów rozłącznych
# Data: 1.04.2014
# (C)2014 mgr Jerzy Wałaszek
#------------------------------
import random
N = 10 # Liczba węzłow
# Węzeł
class Tnode:
def __init__(self,d):
# Rodzic węzła
self.up = None
# Ranga
self.rank = 0
# Zawartość węzła
self.data = d
# Tworzy drzewo jednowęzłowe
#---------------------------
def make_set(x):
# x staje się korzeniem drzewa
x.up = x
x.rank = 0 # Rangę zerujemy
# Zwraca korzeń drzewa i ustawia
# pola up wszystkich węzłów
# nadrzędnych aż do korzenia
#-------------------------------
def find_set(x):
if x.up is not x:
x.up = find_set(x.up)
return x.up
# Łączy ze sobą drzewa z x i z y
#-------------------------------
def union_sets(x, y):
# Wyznaczamy korzeń drzewa
# z węzłem x
rx = find_set(x)
# Wyznaczamy korzeń drzewa
# z węzłem y
ry = find_set(y)
# Korzenie muszą być różne
if rx is not ry:
# Porównujemy rangi drzew
if rx.rank > ry.rank:
# rx większe,
# dołączamy ry
ry.up = rx
else:
# równe lub ry większe,
# dołączamy rx
rx.up = ry
if rx.rank == ry.rank:
ry.rank += 1
# **********************
# *** PROGRAM GŁÓWNY ***
# **********************
z = [Tnode(i) for i in range(N)]
for i in range(N):
# tworzymy jednowęzłowe drzewa
make_set(z[i])
for i in range(N):
# Losujemy dwa węzły
x = random.randrange(N)
y = random.randrange(N)
# Łączymy drzewa
# z wylosowanymi węzłami
union_sets(z[x],z[y])
# Wypisujemy wyniki
c = 0 # Licznik podzbiorów
for i in range(N):
x = find_set(z[i]).data
if x == i: c += 1
print(i,"is in set",x)
print()
print("Numeber of sets =",c)
print()
for i in range(N):
p = find_set(z[i])
if p.data == i:
print("Set", i, "rank =",
p.rank, ":", end=" ")
for j in range(N-1):
if p is find_set(z[j]):
print(j, end=" ")
print()
|
| Wynik: |
0 is in set 2 1 is in set 3 2 is in set 2 3 is in set 3 4 is in set 3 5 is in set 3 6 is in set 6 7 is in set 2 8 is in set 3 9 is in set 3 Numeber of sets = 3 Set 2 rank = 1 : 0 2 7 Set 3 rank = 2 : 1 3 4 5 8 9 Set 6 rank = 0 : 6 |
![]() |
Zespół Przedmiotowy Chemii-Fizyki-Informatyki w I Liceum Ogólnokształcącym im. Kazimierza Brodzińskiego w Tarnowie ul. Piłsudskiego 4 ©2026 mgr Jerzy Wałaszek |
Materiały tylko do użytku dydaktycznego. Ich kopiowanie i powielanie jest dozwolone pod warunkiem podania źródła oraz niepobierania za to pieniędzy.
Pytania proszę przesyłać na adres email:
Serwis wykorzystuje pliki cookies. Jeśli nie chcesz ich otrzymywać, zablokuj je w swojej przeglądarce.
Informacje dodatkowe.