![]() |
Zoptymalizowane dla IE i Firefox
Autor artykułu: mgr Tadeusz Sypek |
©2014 mgr
Jerzy Wałaszek
|
Wykorzystując wieloletnie doświadczenie pragnę przedstawić w poniższej pracy materiał dydaktyczny do wykorzystania na zajęciach kółek astronomicznych i fizycznych. Oczywiście użytkownik zechce osobiście ocenić jego przydatność jak i jego zawartość merytoryczną.
Prezentowane na tej stronie materiały są przede wszystkim kierowane do początkujących adeptów astronomii. Przedstawimy również zadania i problemy, które powinny usatysfakcjonować uczniów zaawansowanych na polu astronomii. Dlatego jako podstawę redakcyjną naszych rozważań przyjęto:
- bogaty komentarz tekstowy i graficzny,
- stopniowanie trudności,
- materiał do wykorzystania pod kątem przygotowania do Olimpiady Astronomicznej oraz konkursów np. Astronomiczno-Astronatycznego (MOA Niepołomice), itp.
Już najprostsza definicja fotometrii: Fotometria gwiazdowa jest działem astrofizyki zajmującym się pomiarami widomej jasności ciał niebieskich [1] nawiązuje do postrzeganych subiektywnie przez ludzkie oko wrażeń świetlnych. Często mówimy, że dana gwiazda jest "mocniejsza", ”świeci mocniej, jaśniej”, albo, że daje "więcej światła", ma ”większy blask”. Jasność jest, bowiem, jedyną cechą, która jest ważna dla zwykłego obserwatora. Kiedyś, gdy nie zdawano sobie sprawy z różnorodności święcących na niebie obiektów, traktowano gwiazdy jako punkty. Takie założenie było wtedy wystarczające do prostego ilościowego opisu (skali). Jako pierwszy wprowadził taką skalę Hipparch z Nikei w Bitynii (ok. 190-125 p.n.e.), twórca pierwszego znanego katalogu jasności i współrzędnych gwiazd. Sporządził katalog 1080 gwiazd, zawierający ich pozycje i oceny blasku. Uściślenia dokonał Klaudiusz Ptolemeusz z Aleksandrii (ok. 100-168) w swoim Almamgeście; gwiazdy najjaśniejsze określone były jako pierwszej wielkości, zaś najsłabsze, ledwo widoczne gołym okiem - jako szóstej wielkości. Skala ta była w użyciu jeszcze na początku XIX wieku (!) [2].
Z chwilą, gdy astronomowie zaczęli się interesować właściwościami fizycznymi gwiazd (astrofizyka gwiazdowa) konieczne stały się pomiary ich rzeczywistego promieniowania. Zdawano sobie już wówczas sprawę z tego, że skala Ptolemeusza nie ma nic wspólnego z odległościami gwiazd. W 1830 r, J. Herschel wiąże skalę wielkości gwiazdowych z natężeniem całkowitym światła gwiazd twierdząc, że różnicom w wielkościach gwiazdowych odpowiadają określone stosunki natężeń światłą. Wykorzystując sugestię Herschela i uściślając tradycyjny system Ptolemeusza, N.R. Pogson (1856) stworzył obiektywną fotometryczną skalę wielkości gwiazdowych. Skala ta, ujęta w formułę matematyczną, stała się skalą ciągłą i pozwalała ją rozciągnąć na obiekty niewidzialne gołym okiem, jak również na obiekty bardzo jasne, które uprzednio znajdowały się poza skalą Ptolemeusza. Systematyka Pogsona, wprowadza zasadę, że różnica 5 wielkości gwiazdowych to stosunek natężeń światła gwiazd równy 100 (czynnik Pogsona).
Przypomnijmy, jak przed laty, w kursie fizyki szkoły średniej wyglądała struktura działu Fotometria [3]:
- definiowano pojęcie kąta bryłowego ω,
Rys. 1
|
|
1 steradian to kąt bryłowy o wierzchołku w środku kuli, wycinający z tej kuli powierzchnię równą kwadratowi jej promienia. |
- wprowadzano pojęcie strumienia świetlnego Φ jako energię wysyłaną przez punktowe źródło światła w granicach kąta bryłowego. Zakładano przy tym, że źródło promieniuje izotropowo we wszystkich kierunkach,
-
natężenia źródła światła -
, cd
- kandela, jednostka podstawowa w
układzie SI,
-
oświetlenia -
-
luks.
Powyższy układ
fotometrii szkolnej wydaje się przejrzysty. Ale ma też pewien mankament z
dydaktycznego punku widzenia. Wielkością wyjściową jest tutaj strumień świetlny.
Następnie definiujemy natężenie światłą, jego jednostkę
(kandela [cd]) i dopiero określamy
jednostkę strumienia świetlnego
.
Ten sposób postępowania - choć historycznie uzasadniony – jest nie bardzo
zrozumiały dla ucznia. Ponadto, takie podejście było wystarczające tylko do
opisu punktowego źródła światła. Tymczasem, w
miarę rozwoju technik fotometrycznych i spektrofotometrycznych, zdano sobie
sprawę, że rzeczywista moc promieniowania gwiazdy zależy głównie od jej
parametrów fizyko-geometrycznych, w tym głównie od promienia gwiazdy R i temperatury jej powierzchni w skali
bezwzględnej T (więcej na ten temat w dalszej części pracy).
Tab. 1
|
Wielkość |
Jednostka |
Synonimy, wielkości i jednostki pokrewne |
|
Oznaczmy przez L0 ilość emitowanej energii z jednostki powierzchni gwiazdy w jednostce czasu (moc promieniowania). |
|
- Strumień energetyczny [W], -
Emitancja energetyczna - moc
emitowana przez jednostkę powierzchni ciała doskonale czarnego |
|
Załóżmy, gwiazda jest kulą o promieniu R, wówczas całkowita moc promieniowania gwiazdy L:
|
[W] |
-
Światłość
(natężenie źródła światła),
-
Egzytancja energetyczna albo
zdolność emisyjna - moc emitowana we wszystkich kierunkach z
jednostki powierzchni
-
Luminacja
(światłość powierzchniowa, jaskrawość)
|
|
- Natężenie oświetlenia E
Związek pomiędzy mocą promieniowania a wielkością oświetlanej powierzchni:
|
|
-
Oświetlenie
[lx], stała słoneczna,
(całkowita
irradiancja
słoneczna), -
Energia napromieniowania,
natężenia napromieniowania,
naświetlenie N - iloczyn natężenia oświetlenia przez czas
jego działania |
Trzecia kolumna powyższej tabeli ma charakter uzupełniający; mniej zaawansowany w tematyce czytelnik może nie zwracać na nią uwagi. Zamieszczany ją tylko, dlatego, że w dawniejszych podręcznikach do fizyki szkolnej, jak również podręcznikach uniwersyteckich i różnych zbiorach zadań spotykamy odmienną terminologię i jednostki. Wiąże się to m. in. z podziałem fotometrii:
- fotometrię obiektywną (energetyczną, radiometrię), która mierzy ilość energii docierającej ze źródła (jednostki energetyczne),
- fotometrię subiektywną (świetlną, porównawczą, wizualną), która odpowiada na pytanie: jak jasno święci to źródło (jednostki świetlne).
Ponadto specjaliści
różnych dziedzin używają swojej terminologii; np. fotograficy - naświetlenie
(ekspozycja, ilość światła, dozowanie oświetlenia),
producenci rzutników multimedialnych (systemy
wizyjne) przez jasność rozumieją siłę światła wyrażaną w ANSI
lumenach a wytwórcy sprzętu oświetleniowego posługują się pojęciem sprawności
(skuteczności)
świetlnej żarówki
,
itd.
Analizując swoje doświadczeniu w pracy Koła Astronomicznego, uważam, że zarówno podejście energetyczne jak i terminologia oraz nazewnictwo najlepszy wyraz znajdują w pozycjach [4].
Wróćmy do wspomnianej wyżej skali fotometrycznej Pogsona wyrażonej w formule:
,
stosując dwukrotnie ten wzór i odejmując stronami:

ostatecznie:

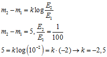
ZAD 1 Ile razy zmieni się oświetlenie powierzchni (np. źrenicy oka) przez ciało niebieskie, jeżeli jego wielkość gwiazdowa zmieni się o jednostkę?
.
(Odp. 2,512 razy).
ZAD 2 Policzyć różnicę w wielkościach gwiazdowych pomiędzy pełnią a kwadrą Księżyca.

(Odp. 0m75).
ZAD 3 Zasięg 5-metrowego teleskopu z kamerą CCD wynosi 27m . Ile razy ten instrument jest czulszy od ludzkiego oka (6m)?
p. ZAD 1:
.
(Odp. 2,52•108 razy).
ZAD 4 (do samodzielnego przeliczenia):
a) Ile razy Słońce daje większe oświetlenie niż Księżyc w pełni ?
(Odp. ≈ 430000 razy).
b) Z jakiej odległości możemy dostrzec Słońce gołym okiem, czyli jak daleko od Słońca znajduje się punkt, w którym jasność naszej gwiazdy dziennej wynosi zaledwie 6 magnitudo?
(Odp. 57 lat świetlnych).
c) Jaką jasność widomą ma Słońce dla obserwatora umieszczonego na dowolnej planecie Układu Słonecznego?
(Odp. np. dla Saturna -21m9).
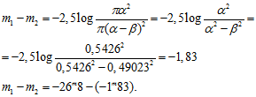
ZAD 5 Jaką maksymalną jasność (wyrażoną w wielkościach gwiazdowych) może mieć widoczna część tarczy słonecznej podczas zaćmienia obrączkowego. Przyjmij, że jasność powierzchowna całej tarczy słonecznej jest jednakowa.
Potrzebne dane wyszukaj samodzielnie.
[XXXII OA, zawody I stopnia], [5]
Rys. 2
|
|
|
R - promień Słońca
a - odległość Ziemi od Słońca (w perihelium) - 147,1[mln km], d - odległość Księżyca od Ziemi (w apogeum) - 405696[km]. |
Wyznaczamy rozmiary kątowe Słońca i Księżyca na sferze niebieskiej:

Przy założeniu
jednakowej jasności powierzchniowej (pomijamy
tzw. pociemnienie brzegowe), faza zaćmienia obrączkowego jest
związana z polem pierścienia
:

(Odp. -25m). Zadziwiająca rzecz! Zmiana w oświetleniu byłaby niezauważalna, gdybyśmy o tym zjawisku nie wiedzieli wcześniej.
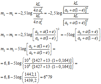
ZAD 6 Księżyc Saturna Phoebe – jeden z celów badań misji
Cassini-Huygens – obiega macierzystą planetę po wydłużonej orbicie o mimośrodzie
e = 0,164 w średniej odległości
[XLVIII OA, zawody stopnia I]
Zakładamy, ze orbita Saturna jest okręgiem. Oznaczamy:
a0 - jednostka astronomiczna,
a - średnia półoś orbity Phoebe,
e - mimośród orbity Phoebe,
a1 = a(1+e) - największa odległość Phoebe od Saturna w ”pełni”,
a2 = a(1-e) - najmniejsza odległość Phoebe od Saturna w ”pełni”.
Uwaga! Kolizja oznaczeń; albedo będziemy tutaj oznaczą k.
Albedo (białość) - to stosunek ilości promieniowania odbitego do padającego, jest parametrem określającym zdolność odbijania promieni przez daną powierzchnię. W astronomii jest to liczba wskazująca, jaka część światła padającego na ciało niebieskie jest odbijana [6].

(Odp. Nie)
Doświadczony rachmistrz
wcale nie musi wykonywać powyższych obliczeń. Wystarczy zauważyć, że stosunek
półosi orbity Phoebe do promienia orbity Saturna wynosi
. Wtedy:

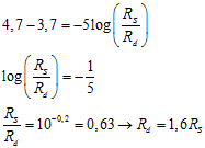
Obserwowana (widoma) jasność gwiazdy nie pozwala na ocenę rzeczywistej mocy promieniowania. Jest to oczywiście związane z odległością. Niektóre gwiazdy widzimy jako bardzo jasne, ponieważ znajdują się dostatecznie blisko i odwrotnie - nieodległa, słaba gwiazda może wydawać nam się jaśniejsza niż gwiazda jasna, ale bardzo odległa. Stworzono więc, pojęcie jasności absolutnej, która jest miarą prawdziwej jasności obiektu w przestrzeni kosmicznej niezależnie od jej odległości. Inaczej - jasność absolutna jest to znormalizowana jasność gwiazdy, odpowiada jasności obserwowanej z odległości 10 parseków (ustalona odległość odniesienia).
Dla przykładu: nasze Słońce, którego wielkość obserwowana wynosi aż -26m73 ze względu na małą odległość, ma wielkość absolutną zaledwie +4m87, podczas gdy np. Deneb (α Cygni - jeden z wierzchołków Trójkąta Letniego), ma wielkość absolutną aż -7m2. Inny przykład: wspomniany wyżej Deneb i inna gwiazda Trójkąta Letniego Altair mają podobne jasności obserwowane 1m25 i 0m76, nie różnią się również barwą. W pierwszej chwili wydaje się, że są to niemal gwiazdy identyczne. Gdy jednak pomierzono odległości do tych gwiazd, okazało się, że Deneb jest oddalony 56 razy dalej niż Altair i 2500 razy jaśniejszy [8].
Wielkość absolutna nigdy nie jest wyznaczana z bezpośredniego pomiaru. Zawsze oblicza się ją na podstawie pomiarów innych parametrów obiektu.
Posługując się wzorem fotometrycznym ustalmy najpierw związek pomiędzy jasnością gwiazdową obserwowaną a jasnością absolutną:

gdzie:
M
- wielkość absolutna,
m - wielkość obserwowana,
r - odległość od gwiazdy wyrażona w parsekach.
ZAD 7Jasność obserwowana pewnej gromady kulistej wynosi m = 12m, a jej jasność absolutna M = -7m.
Czy gromada ta może należeć do naszej Galaktyki?
[XXVIII OA, zawody I stopnia], [4]

(Odp. Nie, rozmiary Galaktyki wynoszą około 30[kpc]).
Zwróćmy uwagę, że posługując się wielkościami absolutnymi, wzór fotometryczny przyjmuje postać:
,
ponadto, jeżeli jakaś gwiazda z różnych przyczyn zmieni swój blask
(np. gwiazda zmienna fizycznie) to:
,
Po odjęciu stronami:

ZAD 8 W dniu 20 maja 1054 roku zaobserwowano wybuch gwiazdy supernowej znajdującej się w odległości 6500 lat świetlnych. Jej pozostałością jest mgławica "Krab" w gwiazdozbiorze Byka. Oblicz, jaką maksymalną jasność obserwowaną osiągnęła ta supernowa i opisz możliwości jej obserwacji wtedy, gdy była w pobliżu maksimum swojej jasności. Przyjmij, że maksymalna jasność absolutna supernowej wynosi -18m.
[XLVIII OA, zawody stopnia I]

(Odp. M = -6m5).
Po Słońcu i Księżycu była najjaśniejszym obiektem na niebie. Współczesne analizy historycznych kronik pozwalają przypuszczać, że supernowa, która stworzyła Mgławicę Kraba pojawiła się w kwietniu lub maju 1054, zwiększając swoją jasność absolutną do maksymalnej wartości (-4m do 7m5) kwiecień-lipiec. Była widoczna gołym okiem przez około dwa lata.
ZAD 9 Jasności absolutne dwóch gwiazd różnią się o
. Znany
jest typ widmowy o gwiazdy o jasności M1. Co można powiedzieć
o typie widmowym drugiej gwiazdy, jeśli wiadomo, że ma ona 1,8 razy większą
średnicę od gwiazdy pierwszej?
[XLVII OA, zawody stopnia I]

(Odp. gwiazda o jasności M2 jest wcześniejszego typu widmowego - o jedną, dwie kategorie).
Ciało doskonale czarne – pojęcie stosowane w fizyce (pewien wyidealizowany model) dla określenia ciała pochłaniającego całkowicie padające na nie promieniowanie elektromagnetyczne, niezależnie od temperatury tego ciała, kąta padania i widma padającego promieniowania. Współczynnik pochłaniania dla takiego ciała jest równy jedności dla dowolnej długości fali. Ciało takie może także emitować energię w całym zakresie fal elektromagnetycznych. Przykładem ciała doskonale czarnego jest czarna dziura lub Słońce [7].
Ciało doskonale czarne emituje z jednostki powierzchni w ciągu jednostki czasu energię wprost proporcjonalną do czwartej potęgi temperatury (wyrażonej w skali bezwzględnej).
, gdzie σ
- stała Stefana-Boltzmana,
.
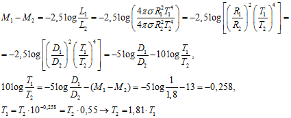
ZAD 10 W lutym 1987 roku
w Wielkim Obłoku Magellana zaobserwowano wybuch supernowej SN 1987A, której
jasność obserwowana w maksimum wynosiła
Oblicz moc promieniowania tej supernowej w chwili, gdy osiągnęła największą jasność i porównaj z mocą promieniowania Słońca. Niezbędne dane potrzebne do rozwiązania zadania wyszukaj samodzielnie.
[LI OA, zawody stopnia I]
|
|
mv = m - jasność wizualna, v - widoma (obserwowana), dotycząca widocznej części widma (visual), L - moc promieniowania supernowej, Ls = 3,845 • 1026[W] - moc promieniowania Słońca, d - odległość do supernowej: d = 51,4[kps] = 51,4 • 103 • 206264,8[au] = = 1,06 • 1010[au], a - odległość Ziemi od Słońca, a = 1[au], ms = -26m7. |
|
(Odp. Moc - sto milionów Słońc). |
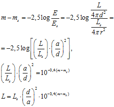
W porównaniu do Słońca:
|
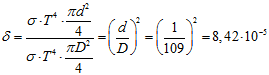
ZAD 11 Następujące gwiazdy uszereguj według ich wzrastających rozmiarów:
a) gwiazda olbrzym,
b) Słońce,
c) gwiazda o jasności obserwowanej 10m8 wielkości gwiazdowej znajdująca się w odległości 3,5[pc] od nas,
d) gwiazda, której jasność absolutna wynosi 3m7 wielkości gwiazdowej, a temperatura efektywna - 5800[K].
[XLIX OA zawody stopnia I]
W przypadku a) i b) sprawa jest oczywista (Przypomnijmy tylko, że jasność absolutna Słońca - Ms = 4m7).
W przypadku c) i d) porównajmy najpierw jasności absolutne:
Jasność absolutna gwiazdy c:
Mc = m + 5 - log D = 10m8 + 5 - log 3,5 = 15m8 - 0,54 = 15m26.
Różnica dwóch wielkości absolutnych:
, jeżeli
przyjmiemy, że temperatura Słońca TS = Td
= 5800[K],
.
Teraz gwiazda c:
Znając tylko jasność gwiazdy i odległość nie wyznaczymy jej rozmiarów (nie znamy również temperatury). Zastosujmy, zatem następujące rozumowanie: 3,5[pc] to w skali astronomicznej niewiele; to po prostu najbliższe otoczenie naszego Układu Słonecznego. W [9] znajdujemy: Procyon B (CMi B) - odległość 11,4[pc], jasność - 10m7. Jednocześnie wiadomo, że składnik ten jest białym karłem, a zatem jego promień to około 1/100 promienia Słońca.
(Odp. Ra > Rd > Rb > Rc).
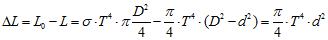
ZAD 12 Zadaniem sondy Kepler jest poszukiwanie planet pozasłonecznych podobnych do Ziemi. Umieszczony na sondzie teleskop prowadzi równoczesne obserwacje fotometryczne dużej liczby gwiazd, celem wykrycia okresowych zmian ich jasności, wynikających z przejścia na tle tarczy danej gwiazdy hipotetycznej planety.
Oblicz, o ile procent zmieniłby się strumień dochodzącego światła od gwiazdy takiej jak nasze Słońce, gdyby na jej tle przechodziła planeta wielkości Ziemi. Obliczoną zmianę strumienia wyraź w wielkościach gwiazdowych.
Rys. 3
|
|
Strumień świetlny (moc promieniowania) obliczmy z prawa Stefana-Boltzmana:
Oznaczamy: L0 - moc promieniowania nieprzesłoniętej gwiazdy, D - średnica gwiazdy, S0 - widoczna powierzchnia gwiazdy (przekrój czynny),
L - moc promieniowania przesłoniętej gwiazdy, d - średnica przesłaniającej planety, S - powierzchnia planety. |
|
Zmiana bezwzględna mocy promieniowania:
Zmiana mocy promieniowania względna (procentowa):
W procentach:
W wielkościach gwiazdowych:
(Odp. Tranzyt Ziemi
obserwowany z dużej odległości powoduje trwającą 13 godzin
(przy przejściu przez środek tarczy słonecznej) zmianę
jasności Słońca o |
|
ZAD 13 Jasność
bolometryczna gwiazdy zmiennej fizycznie waha się w ciągu okresu o
.
Przyjmując, że w momencie minimum jasności gwiazda ma temperaturę efektywną
[XLV OA, zawody stopnia II]
Jasność bolometryczna - jasność obiektu w całym zakresie widma promieniowania elektromagnetycznego (we wszystkich długościach fal promieniowania) danego obiektu, mierzona spoza atmosfery Ziemi [10].
- maksimum jasności,

(Odp.
).
W ostatnim zadaniu pojawiło się pojecie wielkości gwiazdowej bolometrycznej, co sugeruje, że jasność wizualna nie jest jedyną miarodajną wielkością przy badaniu promieniowania gwiazd. Wiąże się to z właściwościami oka ludzkiego oraz informacją jakie niesie promieniowanie o określonej długości fali. Wrażliwość poszczególnych barwników oka, czyli zależność prawdopodobieństwa pochłonięcia fotonu od długości fali decyduje o czułości oka, ma wpływ na widzenie nocne (sklotopiczne) i dzienne (fotopowe). Gwiazda emituje szerokie widmo promieniowania o różnym natężeniu w różnych długościach fal, co powoduje, że jasność gwiazdy w różnych barwach jest różna.
Sytuacja skomplikowała się jeszcze bardziej, w gdy w końcu XIX w. zaczęto z powodzeniem stosować klisze fotograficzne do obserwacji fotometrycznych. Okazało się wówczas, że czułość kliszy fotograficznej nie pokrywa się z czułością oka ludzkiego. Postawało kilka systemów fotometrycznych, z których najbardziej znany jest UBV(p. wskaźniki barwy [11]).
W aparacie cyfrowym o czułości decyduje matryca i wbudowana elektronika (poziom szumów), dając wypadkową czułość aparatu. Czułość jest tutaj wyrażona w jednostkach zdefiniowanych przez organizację ISO.
Powyższe, bardzo pobieżne uwagi (a przecież nie wspomnieliśmy o fotometrii fotoelektrycznej), pokazują, jak rozbudowaną dziedziną jest fotometria gwiazdowa. Musimy sobie zatem, zdawać sprawę z tego, jak bardzo elementarne (ale ważne dla początkującego astronoma) były tematy poruszone w niniejszej pracy.
[1] http://www.cft.edu.pl/~lech/HOU/Mterials/jasnosc gwiazd.pdf,
[2] http://portalwiedzy.onet.pl/19592,,,,hipparch,haslo.html,
[3] J. Jędrzejewski, W. Kruczek, A. Kujawski, Zbiór zadań z fizyki dla uczniów szkół średnich i kandydatów na studia, tom 1-2, WN-T., W-wa 1988, M. Piłat (red), Fizyka z astronomią, WSiP, 1996,
[4] H. Chrupała, J. Kreiner, M. Szczepański, Zadania z astronomii z rozwiązaniami, Wydawnictwo ZAMKOR, 2005, H. Chrupała, M. Szczepański, 25 lat olimpiad astronomicznych, WSiP, W-wa 1986,
[5] Zaprezentowane zadania rachunkowe zostały zaczerpnięte z następujących pozycji:
- Zadania olimpiad astronomicznych XXVI - XXX, Chrupała Henryk, Chorzów 1994, Zadania olimpiad astronomicznych XXXI - XXXV, Chrupała Henryk, Chorzów 1994 (publikacje te dotyczą Olimpiad Astronomicznych z lat 70- i 80-tych),
- archiwum Koła Astronomicznego przy I Liceum Ogólnokształcącym w Tarnowie (regulaminy olimpiad, teksty zadań zawodów stopnia I-go, 1 sza- i 2-ga seria zadań, plakaty Komitetu Głównego OA),
- pliki na stronie www Planetarium Śląskie, Chorzów,
[6] http://pl.wikipedia.org/wiki/Albedo,
[7] [http://pl.wikipedia.org/wiki/Cia%C5%82o_doskonale_czarne],
[8] [http://www.sciaga.pl/tekst/14221-15-jasnosc_gwiazd],
[9] http://www.Astro.wisc.edu The Closet Star to the Earth,
[10] http://portalwiedzy.onet.pl/71625,,,,jasnosc,haslo.html,
[11] Źródło „http://pl.wikipedia.org/wiki/Wska%C5%BAnik_barwy”.
Tadeusz Sypek
![]() | I Liceum Ogólnokształcące |
Pytania proszę przesyłać na adres email: i-lo@eduinf.waw.pl
W artykułach serwisu są używane cookies. Jeśli nie chcesz ich otrzymywać,
zablokuj je w swojej przeglądarce.
Informacje dodatkowe