|
|
Powrót do menu
Nieudana obserwacja zaćmienia Słońca z powodu złej pogody z dnia 3 października 2005r. postawiła mnie przed problemem wyboru nowego zadania obserwacyjnego na 49 Olimpiadę Astronomiczną. Postanowiłem obliczyć fazę Księżyca posługując się jego fotografiami. Wykorzystując piękną pogodą w drugiej dekadzie października razem z członkami Koła Astronomicznego I LO w Tarnowie wykonałem dwie serie zdjęć w odstępie jednodniowym. Zostały one wykonane z półpiętra naszej szkoły, przy pomocy szkolnego teleskopu TAŁ 1 (produkcji radzieckiej) 110/805 mm o ogniskowej okularu 15 mm, połączonym pierścieniem redukcyjnym z aparatem lustrzanym ZENIT.
|
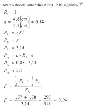
I seria zdjęć, 19.10.2005r., godzina 7.30. migawka: 1/30 temperatura: 5 stopni C zachmurzenie: 0/10 |
|
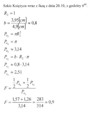
II seria zdjęć, 20.10.2005r., godzina 6.40. migawka: 1/30 temperatura: 5 stopni C zachmurzenie: 0/10 |
Zdjęcia wykonane były w projekcji okularowej na kliszy KODAK ASA 100. Film ten został następnie wywołany w punkcje fotograficznym, wykonano odbitki i zeskanowano negatyw. Zeskanowany film pozwolił mi na cyfrową obróbkę zdjęć.
Przy obróbce cyfrowej wykorzystałem program: Corel Photo-Paint 12. Oczywiście można wykorzystać inny program graficzny wykorzystujący grafikę wektorową (np. darmowy Gimp). Wykonałem następujące czynności:
- wstępnie dobrałem rozdzielczość i kontrast kolorów, aby uzyskać lepszy efekt wizualny,
- dopasowałem do tarczy księżyca okręgi, a następnie do linii terminatora odpowiednie elipsy,
- nadałem im przezroczystość i ustawiłem różne barwy.


Obrobione zdjęcia wydrukowałem jeszcze raz w kolorze czarno-białym, aby swobodnie wykonać na nich konstrukcji oraz wyliczeń. Wyznaczyłem środek tarczy Księżycowej. Przyjąłem promień księżyca jako R1 oraz R2 i przyjąłem go za jednostkę. W tej skali znalazłem małą półoś elipsy. Wszystkie obliczenia znajdują się poniżej.
![]() |
![]() |
![]() |
![]() |
![]() | I Liceum Ogólnokształcące |
Pytania proszę przesyłać na adres email: i-lo@eduinf.waw.pl
W artykułach serwisu są używane cookies. Jeśli nie chcesz ich otrzymywać,
zablokuj je w swojej przeglądarce.
Informacje dodatkowe