ZASTOSOWANIA


Podrozdziały
ANIMACJA RUCHU OKRĘGU NA TLE INNEGO OKRĘGU
CZĘŚĆ WSPÓLNA PRZESŁANIAJĄCYCH SIĘ FIGUR
GWIAZDY PODWÓJNE ZAĆMIENIOWE
ZASTOSOWANIA
ZAKOŃCZENIE

 

Wprowadzamy:

- minimum główne i wtórne zakrycia,
- nachylenie orbity.

Wzajemne zasłanianie składników powodują okresowe spadki jasności całego układu zwane minimami. Zaćmienie, podczas którego składnik o mniejszej jasności powierzchniowej zakrywa składnik o większej jasności powierzchniowej nazywamy zaćmieniem głównym, a odpowiadające mu minimum jasności nazywamy minimum głównym. Zaćmienie wtórne ma miejsce wtedy gdy składnik o większej jasności powierzchniowej zasłania składnik o mniejszej jasności powierzchniowej. Odpowiadające mu minimum jasności nazywa się minimum wtórnym, które jest płytsze od minimum głównego. Różnica fazy między minimum głównym i wtórnym zależy od ekscentryczności orbity. Dla orbity kołowej minimum wtórne występuje dokładnie w połowie okresu orbitalnego.

Nachylenie (inklinacja) orbity - kąt pomiędzy normalną (prostopadłą) do orbity a kierunkiem do obserwatora:

- dla kąta 90º obserwujemy maksymalne amplitudy zmian blasku – zaćmienie centralne (p. Rys. 4 a,b,c), gdy ponadto rozmiary gwiazd są jednakowe tj. R1 = R2 czas trwania fazy maksymalnej jest bliski zera (Rys. 4a),

- gdy nachylenie orbity się zmniejsza pojawia się płaskie dno (Rys. 4b,c), może się zdarzyć są, że okręgi są styczne wewnętrznie,

- gdy dalej zmniejszamy kąt nachylenia orbity zaczynają się zaćmienia częściowe, obserwujemy asy-metrie krzywych zmian jasności (Rys. 4 d,e).

Analizując geometrię krzywej blasku (LC – Light curve), długość i głębokości trwania zaćmień możemy znaleźć odległości między składnikami (separacja), rozmiary gwiazd, temperatury gwiazd, nachylenia i ekscentryczność orbity. Jeżeli gwiazda zaćmieniowa jest jednocześnie gwiazdą spektroskopowo podwójną (o podwójnych liniach widmowych) można otrzymać masy poszczególnych składników[5].

 

ZAD1

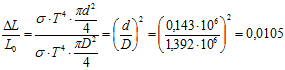
Zespół polskich astronomów zaproponował metodę "masowego" odkrywania planet wokół innych gwiazd. Metoda ta umożliwia zarejestrowanie spadku jasności gwiazdy, gdy przed jej tarczą przechodzi ciemny obiekt (np. planeta). Oceń, jakie spadki jasności rejestruje się wspomnianą metodą w przypadku rejestrowania przejścia ciem-nego obiektu o rozmiarach Jowisza na tle tarczy gwiazdy podobnej do Słońca. Wynik podaj w wielkościach gwiazdowych.

[I seria zadań I etapu XlVII OA].

Skorzystajmy tutaj z rozwiązania zad. 12 w [1]:

Zmiana mocy promieniowania względna (procentowa):

obrazek,

obrazek.

Graficznie te sytuacje tę przedstawia w przybliżeniu Rys. 1f.

Obserwacje planet pozasłonecznych są obecnie już w zasięgu amatorskich obserwatoriów wyposażonych w niewielki teleskop oraz detektor CCD. Więcej na ten temat w [5]. Metodę tę z powodzeniem zastosowano w son-dach Kepler i Carot[6],[7].

ZAD 2

Jasność obserwowana gwiazdy zmiennej zaćmieniowej przyjmuje wartości z przedziału: 6,24m; 6,76m.

Krzywa jasności tej gwiazdy wykazuje płaskie dna, a wszystkie minima jasności mają taką samą głębokość.

Zakładając, że gwiazdy są kuliste, a zaćmienia gwiazd zachodzą centralnie, oblicz, jaki procent czasu trwania dowolnego zaćmienia zajmuje płaskie dno [2-ga seria zadań I etapu LIV OA].

Aby znaleźć procent czasu, który zajmuje płaskie dno, zaproponujmy następujące podejście dydaktyczne: drukujemy Rys. 4b i linijką wyznaczamy, że czas ten wynosi ≈11%.

 

ZAD 3

Rozpatrzmy takie zaćmienie Słońca, które zaczyna się dokładnie w momencie, gdy linia łącząca środki tarcz Słońca i Księżyca jest prostopadła do ekliptyki, czyli drogi Słońca na sferze. Jakie to będzie zaćmienie? Oceń jak długo ono trwa z punktu widzenia obserwatora geocentrycznego, w sytuacji, gdy Ziemia jest w średniej odległości od Słońca, a Księżyc w średniej odległości od Ziemi.
[II etap XLVIII OA]

Odp. 10,2 min,

Wskazówka: zastosuj PROGRAM 3 i metodę jak w ZAD 2, składowe wektora prędkości mają związek z nachyleniem płaszczyzny orbity Księżyca do płaszczyzny ekliptyki (ε  = 5º1).

 

ANIMACJA RUCHU WSTECZNEGO

Matematycznie rzecz ujmując skok warunkowy programu jest zdaniem logicznym, składającym się z po-przednika logicznego i następnika. W naszym programie poprzednik jest zdaniem złożonym (koniunkcją), a spójnik AND jest kwantyfikatorem. Jeżeli zatem zanegujmy jedno zdanie poprzednika, zanegujmy cały poprzednik[3]. Wówczas otrzymujemy dopełnienie w zbiorze koła K2 (Rys. 5 a,b,c). Koło K2 staje się obiektem drugoplanowym i odnosimy wrażenie, że chowa się ono za okręgiem K1.

Pytanie do użytkownika; a gdyby zamienić miejscami R1 i R2 ….. ?

 

Rys. 5a

obrazek

x0 = 160, y0 = 0
R1 = 50, R2 = 100.

Rys. 5b

obrazek

x0 = 80, y0 = 0
R1 = 50, R2 = 100

Rys. 5c

obrazek

x0 = 40, y0 = 0
R1 = 50, R2 = 100

 

Odwracając kierunek pętli i modyfikując linie skoku warunkowego realizujemy animację ruchu wstecznego (Rys. 6a,b).

 

Rys. 6a

obrazek

 

RUCH PROSTY

R1 = 100: R2 =30
x0 = 150: y0 = 150: 
vx = 1:vy = 1
………. 
F0R t = 0 to 315 STEP 45:
………. 

skok warunkowy:

IF x^2+y^2<R1^2 AND (x-x0)^2+(y-y0)^2<R2^2 THEN PSET (x,y),3
……….
Rys. 6b

obrazek

 

RUCH WSTECZNY

FOR t = 315 TO 0 STEP -45
………. 

skok warunkowy:

IF x^2+y^2>R1^2 AND (x-x0)^2+(y-y0)^2<R2^2 THEN PSET (x,y),3
……….

 

 


   I Liceum Ogólnokształcące   
im. Kazimierza Brodzińskiego
w Tarnowie

©2026 mgr Jerzy Wałaszek

Dokument ten rozpowszechniany jest zgodnie z zasadami licencji
GNU Free Documentation License.

Pytania proszę przesyłać na adres email: i-lo@eduinf.waw.pl

W artykułach serwisu są używane cookies. Jeśli nie chcesz ich otrzymywać,
zablokuj je w swojej przeglądarce.
Informacje dodatkowe