![]() |
|
©2015 mgr Jerzy Wałaszek
|
”Jak duży jest Księżyc na niebie?” - takie naiwne, ale trochę prowokujące pytanie, stawiałem uczniom jako młody nauczyciel na lekcjach astronomii. Astronomia była wówczas osobnym przedmiotem w wymiarze 1g lekcyjnej (w klasach ogólnych) lub 2g (profil matematyczno-fizyczny). Odpowiedzi były różne: jedni rozkładali ręce, demonstrując rozmiary piłki, inni znowu twierdzili, że widome rozmiary naszego satelity zależą od położenia na sferze (”większe są przy horyzoncie”). Szybko dochodziliśmy do wniosku, że ocena położenia ciał na sferze niebieskiej musi opierać się o inne układy odniesienia, niż stosowane w geometrii szkolnej. Uczniowie natychmiast też dostrzegali analogię do układu współrzędnych geograficznych.
Pracowaliśmy wówczas w oparciu o podręcznik Konrada Rudnickiego Astronomia dla klasy IV liceum [1] Jeden z pierwszych rozdziałów zatytułowany Orientacja na niebie poświęcony był astronomii sferycznej. Środki dydaktyczne stosowane w nauczaniu były bardzo ubogie: mapy obrotowe nieba, podświetlany globus, folie i slajdy z rysunkami.
Dzisiaj, na początku XXI wieku, niewiarygodny rozwój technik wizualnych i informatycznych otwiera nowe, atrakcyjne formy nauczaniu astronomii. Niestety, w obecnych podstawach programowych dla gimnazjów i liceów w przedmiocie Fizyka z astronomią nie ma wzmianki o układach współrzędnych astronomicznych. Pozostają jedynie zajęcia pozalekcyjne np. koła astronomiczne. Do uczestników takich zajęć kierujemy niniejszą pracę
Nie każdy z kolegów-fizyków jest specjalistą astronomii. Dlatego poniżej przedstawiamy zadania, które wprowadzają nas w tematykę i skalę trudności Olimpiad Astronomicznych. Przechodząc stopniowo od łatwiejszych zadań do trudniejszych zapoznamy czytelnika z zadaniami I stopnia OA (etap szkolny, 1 i 2 seria), II stopnia (okręgowy) i III stopnia (finałowy, centralny).
Zapoznamy również uczniów z prostymi algorytmami i programami, które mają ułatwić życie astronoma-rachmistrza,
Przytoczone zadania mogą również być przydatne dla przyszłych studentów geografii, czy geodezji, jak również dla kolegów-nauczycieli, którzy uzupełniają swoje kwalifikacje na studiach podyplomowych fizyki z astronomią.
ZAD 1
Przypuśćmy, że w serwisach informacyjnych podano wiadomość o pojawieniu się na niebie gwiazdy supernowej, której jasność pozwala dostrzec ją nawet w dzień. Oblicz prawdopodobieństwo, że w Twojej miejscowości gwiazda ta może się znaleźć ponad horyzontem astronomicznym, przyjmując losowość jej położenia na sferze niebieskiej [2].
[LVIII OA I ETAP]
Obliczymy najpierw, jak zmienia się stosunek widocznego nad horyzontem obszaru sfery niebieskiej zajmowanego przez gwiazdy wschodzące i zachodzące do całej półsfery widocznej nad horyzontem, w zależności od szerokości geograficznej φ (p. również XVIII OA).
|
Rys. 1.1 Układ współrzędnych horyzontalnych
|
Rys. 1.2 Południkowy przekrój śladowy sfery
|
||||||||
|
Pole czaszy: P =
2πRh, gdzie: R- umowny promień sfery (sfera jako twór matematyczny), h - strzałka czaszy, czyli odległość pomiędzy środkiem podstawy a wierzchołkiem czaszy tzn. punktem najbardziej odległym od płaszczyzny podstawy.
|
|||||||||
Układ godzinny, zwany czasami pierwszym układem równikowym podobnie jak układ horyzontalny związany jest z miejscem obserwacji. W układzie tym definiujemy dwie współrzędne: deklinacje δ i kąt godzinny t (Rys. 2.1). Jednocześnie układ współrzędnych równikowych jest związany z układem współrzędnych geograficznych, ponieważ korzystają one z tej samej płaszczyzny podziału sfery. Płaszczyzna równika niebieskiego pokrywa się z płaszczyzną równika geograficznego, podobnie jest z biegunami niebieskimi, które są projekcją na sferę biegunów geograficznych: północnego i południowego.
ZAD 2
Gdy w 1519 r. uczestnicy wyprawy dookoła świata dostrzegli na południowym niebie dwie mgliste chmurki przypominające fragmenty Drogi Mlecznej, na cześć swojego dowódcy nazwali je Obłokami Magellana (Wielkim i Małym).
Podaj szerokość geograficzną, od której mogą być dostrzeżone Obłoki oraz termin najbardziej sprzyjający ich obserwacjom. Niezbędne dane znajdź samodzielnie.
[LV OA I ETAP]
|
Rys. 2.1
|
Rys. 2.2
|
W zadaniu rozpatrzymy tylko jedną współrzędną układu godzinnego, mianowicie deklinację δ (Rys. 2.2). Inaczej mówiąc - tworzymy przekrój południkowy sfery dla kąta godzinnego:
.
Współrzędne obłoków:
|
Duży Obłok , |
![]() |
Mały Obłok - |
|
|
Dla obserwatora na półkuli północnej gwiazdy nigdy nie wschodzą, gdy wysokość górowania południowego, tj. na południe od zenitu jest ujemna [3]: hgPd =
90º - φ + δ <
0º |
Dla obserwatora na półkuli południowej gwiazdy pozostają zawsze nad horyzontem jeżeli wysokość dołowania południowego jest dodatnia [3]: hgPd =
90º - φ + δ >
0º, |
ODP. - dla obserwatora położonego na równoleżniku φ < -20º obłoki są obiektami okołobiegunowymi i są doskonale widoczne całą noc,
- dla szerokości φ > 17º obłoki nie są widoczne,
- obłoki są widoczne dla niskich szerokości północnych (φ < 17º); wspomniane obiekty obserwujemy nisko nad horyzontem, a ich widoczność zależy od pory roku.
Wg kronik perskich (964 r.) astronom Al Sufied zaobserwował Duży Obłok podczas wypraw kupieckich wzdłuż wschodnich wybrzeży Afryki.
Pytanie do czytelnika:
- prościutkie: opisz warunki widoczności Obłoków Magellana dla obserwatora na południowym biegunie geograficznym,
- trudniejsze: w jakich miesiącach Obłoki (Mały lub Duży) są widoczne na krótko przed wschodem Słońca lub na krótko po zachodzie Słońca?
Pozostańmy jeszcze chwilę na półkuli południowej.
ZAD 3
W jakich szerokościach geograficznych można obserwować Krzyż Południa wiedząc, że gwiazdy należące do tego gwiazdozbioru mają deklinację od δ = -55º do δ = -64º.
[XV OA I ETAP]
ODP. "Najwyższa" (γ Crucis) gwiazda w Krzyżu ma deklinację δ = -64º, więc teoretycznie widać ją z miejsc na Ziemi o szerokości geograficznej mniejszej niż φ < 26º N . Obserwacja "najniższej" gwiazdy tego gwiazdozbioru a jednocześnie najjaśniejszej (Acrux α Crucis) jest możliwa dla obserwatora φ < 35º N.
ZAD 4
Przedyskutuj przez jaki okres czasu w ciągu roku na terenie Polski występują białe noce astronomiczne. W jakim okresie czasu takie białe noce trwają w Twojej miejscowości. Przyjmujemy, że biała noc astronomiczna zachodzi wtedy, gdy wysokość środka tarczy Słońca przez całą noc jest większa od -18 stopni.
[XLIX OA I ETAP]
Zasadniczy warunek zaistnienia białej nocy astronomicznej na półkuli północnej – dołowanie północne [3]:
-18º < hdPn < 0º,
-18º < φ - 90º + δO < 0º,
δO > 72º - φ.
|
Jastrzębia Góra
|
Ustrzyki Górne
|
Moja miejscowość TARNÓW
|
|
|
|
|
Aby sformułować odpowiedź możemy skorzystamy z wieloletniej tabeli współrzędnych równikowych Słońca w [3] lub np. z dowolnego rocznika astronomicznego [4].
ODP. W 2015 roku:
|
12 maja - 2 sierpnia, 82 dni |
10 czerwca - 4 lipca, 24 dni |
2 czerwca - 11 lipca, 39 dni |
ZAD 5
Z dokładnością do jednego dnia wyznacz datę, dla której w bieżącym roku różnica między wysokościami górowania Słońca w Rio de Janeiro i w Chorzowie będzie możliwie najmniejsza. W obliczeniach przyjmij, że Rio de Janeiro znajduje się na zwrotniku Koziorożca, a szerokość geograficzna Chorzowa wynosi 50°18’.
[LVI OA II ETAP]
|
Rys. 5.1
|
Rys. 5.2
|
Wysokość górowania zależy od deklinacji Słońca i oczywiście szerokości geograficznej.
|
Dla obserwatora w Rio de Janeiro Słońce góruje w zenicie, albo na północ od zenitu:
|
Dla obserwatora w Chorzowie Słońce góruje zawsze na południe od zenitu:
|
,
.
ODP. W roku 2015: 27 kwietnia lub 16 sierpnia.
W następnym zadaniu jest wyraźnie uchwycona zależność między wysokością Słońca, jego deklinacją oraz szerokością geograficzną obserwatora. Oprócz walorów dydaktycznych zadanie to ma - miły dla każdego Polaka - akcent patriotyczny.
ZAD 6
W dniu 31 XII 2004 po przebyciu 187[km] w czasie 15 dni Marek Kamiński, Janek Mela oraz Wojciech Ostrowski stanęli na południowym biegunie Ziemi. Przyjmując, że ich droga przebiegała południkowo, opisz ruch Słońca na sferze niebieskiej podczas wędrówki Polarników.
[XLVIII OA II ETAP]
Deklinacja Słońca δ w grudniu 2004 r. wynosiła:
|
dzień |
16 |
17 |
18 |
19 |
20 |
21 |
22 |
23 |
|
δ |
-23º19' | -23º22' | -23º24' | -23º25' | -23º26' | -23º26' | -23º26' | -23º26' |
|
dzień |
24 |
25 |
26 |
27 |
28 |
29 |
30 |
31 |
|
δ |
-23º25' | -23º24' | -23º22' | -23º19' | -23º17' | -23º13' | -23º10' | -23º05' |
Średnia (dobowa) zmiana deklinacji Słońca:
.
Narzuca się następujące rozumowanie:
wartość bezwzględna deklinacji rośnie, czyli wysokość Słońca nad horyzontem też. W tych szerokościach panuje dzień polarny, tzn. w ciągu doby Słońce porusza się w przybliżeniu po kole wielkim równoległym do horyzontu, Sumując: Słońce porusza się po ciasnej spirali:
- wznoszącej się od 16-20 grudnia,
- 20-23 równolegle do horyzontu,
- ciasnej spirali opadającej w dniach: 24-31 grudnia.
! To rozumowanie jest słuszne przy założeniu, że obserwator jest nieruchomy (γ = const).
Tymczasem średni (dobowy) dystans przebyty przez polarników:
jest
znacznie większy od średniej (dobowej) zmiany
deklinacji Słońca.
Na półkuli południowej Słońce góruje na północ od zenitu (namiar północny) i jego wysokość wynosi wtedy:
.
Przy założeniu, że Ziemia jest kulą przyjmujemy 1º=111[km]. To oznacza, że polarnicy wyruszają z punktu
szerokości południowej.
Wtedy wysokość kulminacji Słońca:
.
W ostatnim dniu wyprawy:
.
ODP. Słońce porusza się po opadającej ciasnej spirali (w przybliżeniu równoległej do horyzontu). W dniach 20-23 grudnia zwoje spirali pokrywa ją się (Słońce nieruchome w deklinacji) [6].
ZAD 7
Obserwator znajdujący się dokładnie na biegunie Ziemi zaobserwował, że wschód Słońca nastąpił w punkcie horyzontu wyznaczonym przez kierunek południka Greenwich. W jakim punkcie horyzontu nastąpi kolejny wschód Słońca obserwowany z tego bieguna?
W rozważaniach rozpatruj wschód środka tarczy słonecznej oraz pomiń efekt refrakcji atmosferycznej .
[LI OA II ETAP]
Zauważmy, że obserwator może znajdować się biegunie południowym lub północnym.
Oczywiście wzór określający momenty wschodu zachodu ciała niebieskiego:
|
|
nie może być stosowany, z uwagi na nieoznaczoność mianownika |
. |
|
Doba gwiazdowa: |
![]() |
. |
|
W czasie roku zwrotnikowego Ziemia wykona |
![]() |
obrotów. |
Odrzucając pełną liczbę obrotów (cecha) zajmiemy się mantysą i zamieniamy ją na kąt.
ZAD 8
Jakie warunki powinny być spełnione, by w Twojej miejscowości podczas całej doby (liczonej od północy do północy według czasu urzędowego) nie nastąpiło górowanie Księżyca? Ile razy w ciągu roku sytuacja taka może mieć miejsce?
Potrzebne informacje oraz dane liczbowe wyszukaj samodzielnie.
[LVII OA I ETAP]
|
Okres obiegu Księżyca (miesiąc syderyczny) |
, |
|
średnia zmiana rektascensji Księżyca: |
![]() |
Księżyc codziennie wschodziłby średnio o 52 min później. Jednak prędkość Księżyca w ruchu wokół Ziemi nie jest stała, a stąd i jego ruch na niebie nie jest jednostajny. Codzienne opóźnianie się wschodu Księżyca waha się od 38 do 66 min.
|
Przykład:
- 2 maja 2015 Księżyc góruje (jest w południku) w Tarnowie w chwili Tλ=23h43m czasu urzędowego letniego CEST, - mija doba słoneczna (3 maja), Księżyc zwiększa swoją rektascensję o Δα = 52m i znajduje się dalej po wschodniej stronie południka, - oczywiście po pewnym czasie góruje, ale jest już 4 maja! [4]. |
Tλ - czas urzędowy czas letni w miejscu obserwacji,
TK
- czas zjawiska odczytany z kalendarza, dane w kalendarzu
0hUT danego
dnia,
Tλ = TK - λ + 2h , Tλ = 23h07m - 1h24m + 2h = 23h43m.
|
|
Gdy księżyc znajduje się pobliżu południka koło północy tzn. jest w pełni. Od pełni do pełni upływa miesiąc synodyczny ; aby oszacować ile razy omawiane zjawisko wystąpi w ciągu roku wyznaczamy część całkowitą ilorazu
|
|
ODP. W dniu poprzedzającym zjawisko czas górowania Księżyca musi być bliski północy (ostatnia kwadra Księżyca). W ciągu roku może wystąpić 12 dni bez kulminacji Księżyca.
Uwaga! Warto w tym momencie zauważyć, że podczas przejścia przez południk wszystkie gwiazdy poruszają się prostopadle do południka, a więc równolegle do horyzontu. W przypadku Księżyca ma on najczęściej "ukośny" ruch względem południka i dlatego przejście przez południk nie jest identyczne w czasie z górowaniem.
Wypłyńmy teraz na szersze wody. Od 2007 r. rozgrywana jest Międzynarodowa Olimpiada z Astronomii i Astronautyki (IOAA). Chociaż astronomia nie jest obecnie przedmiotem szkolnym powszechnie znane są wspaniałe wyniki młodych polskich astronomów [5].
ZAD 9
Obserwator znajduje się w punkcie o szerokości geograficznej 42º5 N i długości geograficznej 71º W. Oszacuj dla tego punktu moment wschodu Słońca w dniu 21 grudnia, zakładając, że czas urzędowy w miejscu obserwacji wynosi GMT - 5 godzin. Pomiń rozmiary tarczy słonecznej i wpływ refrakcji.
[1-sza Międzynarodowa Olimpiada z Astronomii i Astrofizyki Chiang Mai, Tajlandia, 2007]
|
Kąt godzinny wschodu Słońca: |
![]() |
|
|
|
|
- lokalny czas słoneczny prawdziwy w miejscu obserwacji. |
Aby znaleźć czas średni słoneczny należałoby posłużyć się równaniem czasu tj. jest różnicą pomiędzy godzinnym kątem Słońca średniego, a kątem godzinnym Słońca prawdziwego. W okolicach przesilenia zimowego (dokładnie 24 grudnia) równanie czasu ma wartość 0m. Ponieważ autor zadania prosi o oszacowanie momentu zjawiska, rezygnujemy z poprawki wynikającej z równania czasu. Pozostaje jeszcze uwzględnić tylko różnicę czasu wynikającą z położenia geograficznego obserwatora i długości centralnego południka strefy czasowej – 5 GMT (czas urzędowy).
.
ODP. Przybliżony czas zjawiska to kwadrans po godz. 7-mej.
ZAD 10
W pewnym momencie, w miejscowości o szerokości geograficznej φ i długości geograficznej λ, Słońce zachodzi dokładnie w zachodnim punkcie kardynalnym horyzontu. Co w tej sytuacji, można powiedzieć o:
[LII OA II ETAP]
|
a) dacie
|
δO = 0º równonoc wiosenna 20 lub 21 marca lub równonoc jesienna 22 lub 23 września, |
|
b) współrzędnych horyzontalnych Słońca,
|
|
|
c) współrzędnych równikowych godzinnych Słońca,
|
|
|
d) współrzędnych równikowych równonocnych Słońca, |
|
|
e) lokalnym czasie prawdziwym słonecznym, |
|
|
f) kącie nachylenia płaszczyzny ekliptyki do horyzontu,
|
|
|
g) kącie nachylenia płaszczyzny równika niebieskiego do horyzontu,
|
|
|
h) wysokości górowania Słońca w tym dniu w tej miejscowości
|
|
|
i) punkcie wschodu Słońca w tym dniu w tej miejscowości.
|
Punkt kardynalny horyzontu E A = 180º, h = 0º, t = 18h (p. Wagi), |
|
j) czy w tym dniu górowanie Słońca nastąpiło dokładnie w połowie odstępu czasu między momentami wschodu i zachodu?
|
Jeżeli uwzględnimy tylko średnie dzienne zmiany deklinacji Słońca. |
UWAGA: zauważmy, że λ jest określone, a zatem obserwator nie może znajdować się na którymś z biegunów geograficznych φ ≠ ±90º. Tym samym odpowiedzi na wszystkie pytania są jednoznaczne.
ZAD 11
Pomiędzy południem 1 lipca a południem 31 grudnia upływa 183 dób słonecznych. Ile upływa dób gwiazdowych?
[1-sza Międzynarodowa Olimpiada z Astronomii i Astrofizyki, Chiang Mai, Tajlandia, 2007]
Przypomnijmy:
- doba słoneczna - okres pomiędzy dwoma kolejnymi górowaniami Słońca 24h = 1440m = 86400s,
- doba gwiazdowa - okres pomiędzy dwoma kolejnymi górowaniami punktu Barana 23h56m4s,091 = 86164s,09.
|
Doba słoneczna = |
![]() |
doby gwiazdowej, |
183·1,00273791 = 183,5010 - pół dnia w ciągu roku zwykłego kalendarzowego,
365·1,00273791 = 365,9992 ≈ 366 dni - cały dzień w ciągu roku zwykłego kalendarzowego.
Sprawdźmy to dla roku przestępnego; w 1-szej połowie roku dodatkowo 29 luty,
366·1,00273791 = 367 dni.
ODP. Pomiędzy południem 1 lipca a południem 31 grudnia upływa 183,5 dób gwiazdowych.
ZAD 12
Oblicz szerokość geograficzną miejsca obserwacji, w którym dnia 22 czerwca stosunek czasu, w jakim Słońce przebywa nad horyzontem, do czasu przebywania pod nim wynosił 5 :13. Kąt między płaszczyznami
równika niebieskiego i ekliptyki wynosi ε = 23º27'.
Wpływ refrakcji atmosferycznej pomijamy.
[XI OA ETAP I]
Wzory transformacyjne pomiędzy układem współrzędnymi horyzontalnych a układem równikowym godzinnym;
,
Uwzględniając warunki zadania: h = 0º i δ = ε = 23º45,
,
usuwając
cos α z (12.3
c) i
(12.1 a)
otrzymujemy:
,
.
Musimy najpierw znaleźć tZ - kąt godzinny.
Łuk dzienny to podwojona wartość kąta godzinnego zachodu (wschodu) Słońca,
Łuk nocny - 24h - 2tZ.
Z treści zadania:
- kąt
godzinny zachodu
(albo wschodu),
.
ODP. Obserwator znajduje się na równoleżniku φ = -34º. Sytuacja ta ma następującą interpretację astronomiczną. W dniu 22 czerwca (przesilenie letnie) na półkuli północnej rozpoczyna się lato astronomiczne, a na półkuli południowej - zima. W tym czasie dni są tam krótsze od nocy, inaczej łuki nocne są dłuższe od dziennych.
ZAD 13
Równanie ekliptyki we współrzędnych równikowych (α,δ) ma postać:
,
gdzie ε jest katem nachylenia równika niebieskiego do płaszczyzny ekliptyki.
Znajdź
analogiczną zależność, która będzie równaniem równika niebieskiego we
współrzędnych horyzontalnych (A,h) dla szerokości
geograficznej
.
Zinterpretuj przypadki dla szerokości geograficznej φ = 0º oraz φ = 90º.
[LIII OA II ETAP]
|
Rys. 13.1
|
Rys. 13.2
|
|
- dla α = 0º, δO = 0º - punkt Barana. - dla α = 0º = 6h, δO = ε = 23º,42 - p. współrzędne roczne Słońca.
Tutaj szerokość geograficzna nie odgrywa roli, obydwa układy są związane ze sferą niebieską.
|
- dla A = 0º (punkt równika w południku):
- dla A = 90º = 6h - punkt równika w punkcie zachodu : tgh = 0º, - dla
φ = 90º
( obserwator znajduje się na biegunie), równik
pokrywa się z horyzontem,
- dla φ = 0º (obserwator na równiku), równik niebieski prostopadły do horyzontu. |
Propozycja: W ramach ćwiczenia zalecam znalezienie równanie równika we współrzędnych ekliptycznych (β,λ) .
Wskazówka: rozpatrz transformację odwrotną, współrzędne ekliptyczne → równikowe:
,
ODP. tgβ = -cosα·tgε.
ZAD 14
W których dnia roku cień rzucany przez koniec gnomonu kreśli na płaszczyźnie poziomej linie prostą.
Odpowiedź uzasadnij.
[XXXIV OA I ETAP]
Podejrzewamy, że taka sytuacja ma miejsce dniach równonocy wiosennej lub jesiennej. (δO = 0º). Punkty wschodu i zachodu Słońca znajdują się w punktach kardynalnych horyzontu E i W, czyli na linii wschód-zachód, która jest prostopadła do lokalnego południka, pozycjonującego zegar (pierwszy wertykał).
Długość cienia gnomonu: l = d·ctgh
|
Relacje między współrzędnymi horyzontalnymi, a współrzędnymi układu godzinowego są dane następującymi wzorami:
|
Dla δ = 0º
|
|
|
Porównując wzory (1) i (2):
|
|
|
ZAD 15
W jakich
szerokościach geograficznych zachód środka tarczy słonecznej może nastąpić
dokładnie na północnym zachodzie, czyli w punkcie horyzontu o azymucie
astronomicznym
W rozwiązaniu przyjmij kulistość Ziemi i pomiń wpływ refrakcji atmosferycznej.
[LII OA I ETAP]
,
,
,
,
,

ODP.
-
półkula południowa,
- półkula północna.
Zauważmy, że współrzędne horyzontalne (azymut, wysokość) zmieniają się na ogół w czasie; wywołane to jest ruchem dobowym sfery. Ruch ten również ma wpływ na jedną ze współrzędnych godzinnych, mianowicie kąt godzinny (o ile istnieje). Deklinacja obiektu pozostaje bez zmian. Współrzędne równikowe równonocne są związane tylko ze sferą niebieską i nie zmieniają się w krótkich odstępach czasu.
ZAD 16
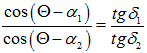
Obserwator zauważył, że w pewnym momencie dwie jasne gwiazdy o znanych współrzędnych równikowych α1,δ1 i α2,δ2 świeciły jednocześnie w płaszczyźnie pierwszego wertykału.
Opracuj algorytm, który dla tego zjawiska pozwoli wyznaczyć szerokość geograficzną φ miejsca obserwacji oraz moment obserwacji Θ wyrażony w czasie gwiazdowym.
Wg znalezionego algorytmu przeprowadź obliczenia dla:
|
a) α Aur |
![]() |
i β Gem |
![]() |
, |
|
b) α VIr |
![]() |
i α Psa |
![]() |
. |
Zauważ, że płaszczyzna pierwszego wertykału jest prostopadła zarówno do południka astronomicznego miejscowego, jak i do płaszczyzny horyzontu astronomicznego.
[LV III ETAP]
|
Rys. 16.1
|
Wzory Gaussa: Oznaczam p. C jako G(gwiazda)
(1)
(2) (3)
A = 90º (azymut wertykału), wtedy:
Ponieważ bok b jest nieistotny dla naszych rozważań, pozbywamy się go dzieląc stronami powyższe równania (2) i (3):
|
|
Rys. 16.2
|
Z trójkąta paralaktycznego: - PnZG1: const1 = tgδ1 - ctgφ, - PnZG2: const2 = tgδ2 - ctgφ
Czas gwiazdowy w danym miejscu obserwacji równa się sumie kąta
godzinnego i rektascensji dowolnego obiektu astronomicznego:
|
|
|
|
|
Dzielimy stronami:
|
|
|
Przygotowujemy: |
|
|
a) α Aur i β Gem
|
b) α VIr i α PsA
|
|
|
|
Proponowany algorytm, język programowania FreeBASIC:
|
'ASTRONOMIA SFERYCZNA, DO ZAD. 16 Screen 9 Window(-320, 175)-(319, -174): Color 3,63
Dim as Double Q, f1, f2 PI = 3.14
For Q = 0 To 2*PI Step 0.1 f1 = cos(Q-1.3853)-1.9532 * cos(Q-2.0338) f2 = cos(Q-3.5155)-3.09 * cos(Q-6.0134) Print Q, f1, f2 Sleep Next Q
End
|
komentarz graficzny ekranu
deklarujemy zmienne Θ = Q deklarujemy stałe
krok rachunków szukamy miejsc zerowych funkcji
oraz :
|
|
lub
Analizując wartości rektascensji stwierdzamy, że zjawisko zachodzi w zachodniej stronie wertykału, dlatego odrzucamy drugie rozwiązanie.
|
lub
Podobnie tutaj odrzucamy pierwsze rozwiązanie. |
|
DOKŁADNE ROZWIĄZANIA:
SZUKANE SZEROKOŚCI:
|
|
|
|
|
ZAD 17
Gwiazda o rektascensji α = 14h13m i deklinacji δ = +19º,5 wschodzi w pewnej miejscowości o godzinie Θ = 5h40m czasu gwiazdowego.
Oblicz:
a) momenty górowania i zachodu gwiazdy w miejscowym czasie gwiazdowym,
b) szerokość geograficzną miejsca obserwacji.
Wpływ refrakcji atmosferycznej pomiń.
[X OA ETAP I]
Czas gwiazdowy w danym miejscu obserwacji równa się sumie kąta godzinnego i rektascensji dowolnego obiektu astronomicznego: Θ = t + α.
Gdy gwiazda góruje (t = 0º):
,
,
,
,
,
,
.
ODP. Górowanie nastąpi o godzinie 14h13m, zachód Słońca - 19h53m lokalnego czasu gwiazdowego, dla miejscowości φ = -53º,2.
ZAD 18
W kolejnych wierszach tabelki podano wybrane współrzędne środka tarczy Księżyca w pewnej miejscowości.
Uzupełnij puste pola dotyczące środka tarczy słonecznej i ewentualnego zjawiska, możliwego do zaobserwowania w tej miejscowości w rozpatrywanych w tabeli przypadkach.
Co w każdym z tych przypadków można powiedzieć o azymutach Księżyca i Słońca oraz o czasie gwiazdowym, w którym zachodzą?
|
Księżyc |
Słońce |
zjawisko |
|||||
|
faza |
wysokość |
rektascensja |
deklinacja |
wysokość |
rektascensja |
deklinacja |
|
|
Pełnia |
90º |
12h |
0º |
|
|
|
|
|
Nów |
90º |
12h |
0º |
|
|
|
|
|
Pełnia |
-90º |
12h |
0º |
|
|
|
|
|
Nów |
-90º |
0h |
0º |
|
|
|
|
|
Pełnia |
90º |
0h |
0º |
|
|
|
|
|
Nów |
90º |
0h |
0º |
|
|
|
|
LVI OA I ETAP]
ODP. dla dwóch wybranych wierszy; myślę, że czytelnik bez trudu uzupełni pozostałe.
|
Księżyc |
Słońce |
|||||
|
Faza |
Wysokość |
rektascensja |
deklinacja |
wysokość |
rektascensja |
Deklinacja |
|
Pełnia |
90º |
12h |
0º |
-90º |
0h |
0º |
K w zenicie , S w nadirze, opozycja K, S w punkcie Barana (równonoc wiosenna),
możliwe jest zaćmienie Księżyca.
|
Księżyc |
Słońce |
|||||
|
Faza |
Wysokość |
rektascensja |
deklinacja |
wysokość |
rektascensja |
Deklinacja |
|
Nów |
90º |
12h |
0º |
90º |
12h |
0º |
S i K w p. Wagi (równonoc jesienna). S i K w zenicie, koniunkcja Księżyca i Słońca,
górowanie Księżyca i Słońca, możliwe zaćmienie Słońca.
ZAD 19
Podaj współrzędne środka tarczy słonecznej w układach horyzontalnym, godzinnym i równikowym, w momentach przesilenia letniego i zimowego:
a) na obydwu biegunach ziemskich,
b) na równiku, w miejscu, gdzie Słońce w tych momentach góruje,
c) na równiku, w miejscu, gdzie Słońce w tych momentach wschodzi,
d) na równiku, w miejscu, gdzie Słońce w tych momentach zachodzi.
Wyniki przedstaw w formie tabelarycznej.
Uwaga: wpływ refrakcji atmosferycznej pomijamy.
[LIII OA I ETAP]
ODP.
|
|
UKŁAD HORYZONTALNY |
UKŁAD GODZINNY |
UKŁAD RÓWNIKOWY
|
|
|
Azymut, wysokość |
Kąt godzinny, deklinacja |
Rektascensja, deklinacja |
|
obserwator na biegunie ziemskim:, |
|||
|
- północnym |
|||
|
przesilenie letnie |
*, +23º,44 |
*, +23º,44 |
6h, +23º,44 |
|
przesilenie zimowe |
*, -23º,44 |
*, -23º,44 |
18h, -23º,44 |
|
- południowym |
|||
|
przesilenie letnie |
*, -23º,44 |
*, -23º,44 |
6h, +23º,44 |
|
przesilenie zimowe |
*, +23º,44 |
*, +23º,44 |
18h, -23º,44 |
|
obserwator na równiku ziemskim w chwili, gdy: |
|||
|
- słońce góruje |
|||
|
przesilenie letnie |
180º, +66º,56 |
12h, +23º,44 |
6h, +23º,44 |
|
przesilenie zimowe |
0º, +66º,56 |
0h, -23º,44 |
18h, -23º,44 |
|
- słońce wschodzi |
|||
|
przesilenie letnie |
246º,56, 0º |
18h, +23º,44 |
6h, +23º,44 |
|
przesilenie zimowe |
293º,44, 0º
|
18h, -23º,44 |
18h, -23º,44 |
|
- słońce zachodzi |
|||
|
przesilenie letnie |
123º,44, 0º |
6h, +23º,44 |
6h, +23º,44 |
|
przesilenie zimowe |
66º,56, 0º |
6h, -23º,44 |
18h, -23º,44 |
-
wielkość nieoznaczona, azymuty i kąty godzinne są liczone od punktu południa (S)
przez punkt zachodu (W) dla obydwu półkul jednakowo.
Uwaga:
W powyższym zadaniu autor zastawił kilka pułapek:
a) Lokalny horyzont obserwatora na biegunie pokrywa się z płaszczyzną równika niebieskiego: koła wertykalne i koła godzinne Słońca są wprawdzie określone, ale azymut i kąt godziny są nieoznaczone, ponieważ nieokreślony jest południk lokalny,
b) W dniu przesilenia letniego (δ = 23º,44) Słońce jest w zenicie na zwrotniku RAKA. Dla obserwatora na równiku Słońce obserwujemy w kierunku północnym (N) czyli góruje ono na północ od zenitu, Podczas przesilenia zimowego (δ = -23º,44) – w kierunku południowym (S).
ZAD 20
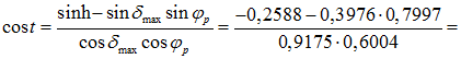
Szerokość geograficzna obserwatorium astronomicznego krakowskiego Uniwersytetu Pedagogicznego na Suchorze wynosi φs = +49º,6, natomiast obserwatorium astronomicznego Uniwersytetu Mikołaja Kopernika w Piwnicach φp = +53º,1.
Przyjmując, że nocne obserwacje astronomiczne można prowadzić w okresie, gdy wysokość Słońca h < 15º, oblicz różnicę pomiędzy takimi okresami podczas zimowego i letniego przesilenia w tych obserwatoriach.
[LIII OA I ETAP]
Kąt godziny obiektu astronomicznego i jego związek z wysokością ma postać:
.
Przygotowujemy:
|
Przesilenie zimowe:
|
Przesilenie letnie:
|
|
|
|
||
|
Wyznaczamy kąt godzinny Słońca dla obserwatora na Suchorze:
Przesilenie (stanowisko) letnie:
Przesilenie (stanowisko) zimowe:
|
Przedział czasu dogodny do obserwacji:
|
|
Wyznaczamy kąt godzinny Słońca dla obserwatora w Piwnicach:
Przesilenie (stanowisko) letnie:
Istotnie, wysokość dołowania północnego (na północ o nadiru) dla δmax = 23º,43:
Przesilenie (stanowisko) zimowe:
|
|
ODP. W czasie przesilenia zimowego różnica czasu obserwacji mieści się w granicach 0h,26 = 16m (minut czasowych). Podczas przesilenia letniego, przy powyższych założeniach, pytanie to traci sens; w Piwnicach możemy mówić jedynie o tzw. białych nocach astronomicznych.
Uwaga: W obliczeniach nie uwzględniono refrakcji i rozmiarów kątowych promienia tarczy Słońca.
Czytelnik z pewnością zauważył, że w niektórych zadaniach występuje wyraźne polecenie: ”nie uwzględniać refrakcji”. Polecenie takie pochodzi od autora zadania. W niektórych przypadkach (jak chociażby w ostatnim zadaniu) autor rozwiązań sam rezygnuje z uwzględniania tego zjawiska. Kiedy wolno to robić? Czy zależy to od wysokości obiektu na sferze? A może zależy to od tego czy obiekt jest punktowy, czy rozciągły ? Kwestie te rozstrzygniemy w planowanym artykule ASTROMETRIA.
[1] podręcznik ten jest dostępny w wersji elektronicznej, opracowanej przez częstochowskich astronomów:
http://www.ptma.ajd.czest.pl/publikacje_elektroniczne/Astronomia_Konrad_Rudnicki.pdf,
[2] teksty zadań zostały zaczerpnięte z następujących pozycji:
- Chrupała H., Szczepański M., T.,25 lat olimpiad astronomicznych, WSZiP, pozycja ta, bez rozwiązań zadań, jest dostępna w: http://lubimyczytac.pl/ksiazka/160815/25-lat-olimpiad-astronomicznych,
- zadania z olimpiad astronomicznych XXVI - XXX, Chrupała H., Chorzów 1994, Zadania z olimpiad astronomicznych XXXI - XXXV, Chrupała H. , Chorzów 1994 (publikacje te dotyczą Olimpiad Astronomicznych)
- z lat 70 - i 80 - tych), Wydawnictwo Planetarium Śląskiego, Chorzów 1994,
- archiwum Koła Astronomicznego przy I Liceum Ogólnokształcącym w Tarnowie (regulaminy olimpiad, teksty zadań zawodów stopnia I-go, 1 sza- i 2-ga seria zadań, plakaty Komitetu Głównego OA),
- pliki na stronie www Planetarium Śląskie, Chorzów,
[3] Mietelski J., Astronomia w geografii, PWN, W-wa 1979,
[4] Ściężor T., Almanach Astronomiczny na rok 2015, Polskie Towarzystwo Astronomiczne, W-wa 2014, Wydawnictwo dostępne w wersji cyfrowej: www.urania.edu.pl/almanach,
[5] Wypada w tym miejscu wspomnieć o sukcesach ucznia I LO w Tarnowie Przemysława Kuty:
- V IOAA, Chorzów, 2011 - brązowy medal,
- VI IOAA Rio de Janeiro, 2012 - srebrny medal,
[http://www.planetarium.edu.pl/5thioaa.htm],
http://www.planetarium.edu.pl/6thioaa.htm,
[6] Kuźmicz A., Wszołek B., Elementy Astronomii dla geografów, Kraków 2009]. Pozycja ta jest również dostępna w formacie PDF, http://tablica.pl/oferta/elementy-astronomii-dla-geografow-wszolek-kuzmicz-ID1SBhd.html.
|
|
Tadeusz Sypek,- emerytowany nauczyciel I LO w Tarnowie, długoletni opiekun Koła Astronomicznego. |
![]() | I Liceum Ogólnokształcące |
Pytania proszę przesyłać na adres email: i-lo@eduinf.waw.pl
W artykułach serwisu są używane cookies. Jeśli nie chcesz ich otrzymywać,
zablokuj je w swojej przeglądarce.
Informacje dodatkowe