![]() |
Zoptymalizowane dla IE i Firefox
Autor artykułu: mgr Tadeusz Sypek |
©2014 mgr Jerzy
Wałaszek
|
|
|
ASTROMETRIA |
|
W poprzedniej pracy poświęconej zadaniom z Olimpiad Astronomicznych [1] wróciliśmy uwagę, że autorzy niektórych zadań używają sformułowania nie uwzględniać refrakcji. Czy zjawisko to ma charakter fizyczny czy geometryczny, czy zależy ono od ruchu dobowego albo rocznego, czy też od położenia obserwatora w dowolnym punkcie Ziemi i dowolnym czasie ?
We wspomnianej pracy poznaliśmy też geometrię sfery niebieskiej, stosowane układy współrzędnych i wzory trygonometrii sferycznej. Dla początkującego astronoma wystarczy przeświadczenie, że w układzie horyzontalnym i godzinnym współrzędne rozpatrywanych obiektów na ogół zmieniają się (są związanie z obserwatorem). Tylko w układzie współrzędnych równikowych równonocnych mamy do czynienia z subtelnymi zjawiskami, powodującymi powolne zmiany (roczne i wiekowe) rektascensji i deklinacji.
Problem precyzyjnego wyznaczania współrzędnych astronomicznych pojawia się od zarania dziejów
i miał charakter praktyczny. Historia astrometrii to historia astronomii fundamentalnej, rozwój metod matematycznych, teoria i budowa przyrządów astronomicznych [2].
W niniejszej pracy zajmiemy się zjawiskami, których znajomość ma na celu poprawę (redukcję) widomej (obserwowanej) pozycji ciała niebieskiego:
- paralaksą,
- precesją,
- prędkością radialną i ruchami własnymi.
Pewien turysta dotarł wieczorem 20 czerwca 2012 roku na wyspę Grimsey, leżącą blisko północnego wybrzeża Islandii.
Podaj, kiedy turysta mógł zaobserwować najbliższą kulminację dolną Słońca i na jakiej wysokości ona nastąpiła. Czy w tym momencie mógł on dostrzec całą tarczę Słońca?
Niezbędne dane odszukaj samodzielnie.
[LVI OA I ETAP], [3].
Grímsey - mała wyspa leżąca 40 km na północ od Islandii, dokładnie na kole podbiegunowym - równoleżnik ziemski o szerokości geograficznej 66°33'39" N.Początek astronomicznego lata 20.06. 23h09m .
|
Rys 1 0
|
Wysokość dołowania północnego (tj. na północ od zenitu):
Uwzględniając średnią refrakcje przy horyzoncie (35') i rozmiary kątowe promienia tarczy słonecznej (16'):
Posługując się [5] znajdujemy, że powyższy warunek był spełniony w dniach: 6 czerwca - 7 lipca 2012 r. |
ODP Słońce będzie widoczne w całości, choć mocno zniekształcone przez atmosferę.
Korzystaliśmy tutaj z gotowych wzorów , ale myślę, że użytkownik znajdzie je bez trudu samodzielnie.
Podaj ekstremalne szerokości geograficzne występowania "księżycowych dni i nocy polanych" dla Księżyca blisko pełni, rozumianych jako zjawisko, w którym Księżyc nie zachodzi w dwóch kolejnych kulminacjach dolnych oraz zjawisko, w którym Księżyc w kolejnych dwóch kulminacjach górnych nie jest widoczny. Przedyskutuj, kiedy w ciągu roku takie zjawiska (dla wskazanych poprzednio obszarów) mogą nastąpić podczas pełni Księżyca.
[XLVII OA, II ETAP]
|
Rys 2
|
Księżyc zmienia deklinację ±28,5° albo ±18,5° ; ma to związek z nachyleniem ekliptyki do równika (ε) oraz z nachyleniem płaszczyzny orbity Księżyca do ekliptyki (i). Maksymalne i minimalne wartości deklinacji są rezultatem ruchu węzłów orbity Księżyca (okres Saros - 18,6 lat). Ponieważ w tekście jest mowa o kolejnych kulminacjach, wyznaczymy średnie wartości zmian dziennych dla:
|
|
Księżycowy dzień polarny - Księżyc nie zachodzi, wysokość dołowania północnego (p. Rys 2 poz.1):
Uwzględniając refrakcję:
aby warunki zadania były spełnione,
ostatecznie:
|
Księżycowa noc polarna zachodzi, gdy wysokość górowania południowego (p. Rys 2 poz.2):
Uwzględniając refrakcję:
dlatego też - aby warunki zadania były spełnione,
|
Ciekawa byłaby dyskusja w przypadku, gdyby obserwator znajdował się na biegunie geograficznym. Księżyc może znajdować wtedy nieprzerwanie ponad horyzontem przez kilka dni w okresie pełni i podobnie jak Słońce podczas polarnej nocy rolę źródła światła.Wówczas Księżyc w jest niemalże tak wysoko o północy, jak Słońce w ciągu dnia w południe.W środku zimy polarnej Księżyc pozostaje wysoko nad horyzontem przez kilka dni podczas okresu letniego przesilenia.
ODP
Dla obserwatora:
-
- Księżyc jest blisko pełni i
ma maksymalną deklinację. Na tych szerokościach panuje wtedy noc polarna
(słoneczna),
-
- Księżyc jest blisko nowiu
i ma minimalną deklinację; zjawisko ”księżycowej nocy polarnej” występuje
podczas dnia polarnego (słonecznego).
Powyższa odpowiedź dotyczy obserwatora na półkuli północnej i dzieje się to w miesiącach przesilenia zimowego.
Dla obserwatora na półkuli południowej zjawisko to jest możliwe w miesiącach przesilenia letniego.
W jakich szerokościach geograficznych Słońce wschodzi i zachodzi co najmniej 100 razy w ciągu roku?
Uwaga: Współrzędne równikowe Słońca znajdują się między innymi w szkolnych tablicach matematyczno-fizycznych.
[XXXI OA I ETAP]
XXXI Olimpiada Astronomiczna była rozgrywana w latach 1987/88. Wówczas dostęp do profesjonalnych roczników astronomicznych był dla ucznia bardzo ograniczony. Dzisiaj w dobie elektroniki korzystamy szybko i szeroko z tego typu opracowań (katalogi astronomiczne, roczniki, almanachy).
Przy uwzględnieniu refrakcji, warunek, że Słońce wschodzi i zachodzi ma postać:
.
Jeżeli założymy kołowość orbity ziemskiej, to można przyjąć, że interesujące nas zjawisko jest symetryczne względem przesilenie letniego.
|
Razem 100 dni 2 maja 21 czerwca 10 sierpnia
dla półkuli południowej
|
ODP Słońce wschodzi i zachodzi 100 razy dla:
- obserwatora na półkuli północnej
(wiosna-lato),
- obserwatora na półkuli południowej
(jesień-zima).
Przedyskutuj jak długo trwa dzień na terenie Polski w dniu przesilenia letniego. Taką samą analizę przeprowadź dla dnia przesilenia zimowego i dni równonocy.
[XLIV OA I ETAP]
Rozpatrzmy miejscowości w Polsce o skrajnych szerokościach geograficznych Jastrzębia Góra i Ustrzyki Górne.
Istnienie refrakcji astronomicznej wydłuża dzień astronomiczny w stosunku do jego długości teoretycznej.Zmiany warunków pogodowych, wywołujące zmiany wielkości refrakcji atmosferycznej powodują również niewielkie, niemożliwe do dokładnego prognozowania zmiany długości danego dnia.Dlatego przyjmuje się średnią refrakcję 35'.W przypadku obiektów rozciągłych ( Słońce, Księżyc)dochodzą jeszcze średnie rozmiary kątowe 16'.
,
Analizując tekst zadania łatwo można przewidzieć, że będziemy musieli wykonać sporo powtarzających się rachunków.
Dlatego proponuję utworzenie prostego programu, To jest doskonały moment na wprowadzenie ucznia-rachmistrza w metody numeryczne.
Między programistami trwają nieustanne debaty, czy programowanie komputerów jest sztuką (formą twórczości), rzemiosłem czy procesem inżynieryjnym. Wysuwane są różne argumenty, a spór wydaje się nie mieć końca. Przedstawię krótko moje uzasadnienie:
- są koledzy-nauczyciele, którzy nadal uważają maksymę łacińską repetitio est mater studiorum za podstawową technikę dydaktyczną. Niżej podpisany nie zgadza się całkowicie z takim podejściem, przynajmniej na polu astronomii sferycznej. Struktura podstawowych wzorów tego działu astronomii (trójkąt paralaktyczny) jest prosta, ale wbrew pozorom, wzory są trudne do zapamiętania; występuje bowiem w ich od 4 do 5 zmiennych, umiejscowionych pod funkcjami sinus lub cosinus w różnej konfiguracji,
- na moją propozycję pisania prostych programów pada zazwyczaj ze strony uczniów pytanie: a w jakim języku ?Przekonuję, że system obliczeń numerycznych wymaga najpierw stworzenie algorytmu - skończonego ciągu jasno zdefiniowanych czynności, albo jednoznacznego przepisu, który w skończonym czasie pozwala, po wprowadzeniu pewnych danych wejściowych, otrzymanie danych wynikowych. Takie banalne programy jakoś są omijane przez nauczycieli informatyki,
- zwolnienie ogromnej ilości czasu, pochłanianego dotychczas na ”ręczne” obliczenia I wykonywanie ich w rozsądnie krótkim czasie,
- dlaczego język Basic? Składnia języka FreeBasic (i pokrewnych QuickBasic, GW Besic), który wywodzi się z Visual Basic dla DOS jest prosta i pozwala początkującym programistom na szybkie przyswojenie podstawowej wiedzy i kształcenie w zakresie metod numerycznych.
' 'Program 1 ' Screen 9 ' 'Wartość liczby pi ' const PI=3.1415927 ' 'Deklarujemy zmienne ' Dim as Double d, d1, f, f1, p, kat, t Color 6,63 ' 'Pętla zewnętrzna: szerokość geograficzna ' For f=49.11 To 54.83 Step(54.83-49.11) ' 'Pętla wewnętrzna: deklinacja Słońca ' For d=-23.44 To 23.44 Step 23.44 ' 'Zamiana stopni na radiany ' d1=d*PI/180 ' 'Szerokość geograficzna w radianach ' f1=f*PI/180 ' 'Poprawka na refrakcję ' p=-0.0148/cos(d1)/cos(f1) ' 'Kąt godzinny zachodu Słońca ' kat=acos((p-tan(f1)*tan(d1))) ' 'Zamiana kąta godzinnego na miarę czasową ' t=2*kat*180/PI/15 ' 'Długość dnia ' print "d=";d,"f=";f,"dlugosc dnia=";t Next d Sleep Next f End |
,
,
przygotowujemy:
|
Jastrzębia Góra |
Ustrzyki Górne |
|
|
|
dla przesilenia letniego
:
|
długość dnia:
|
długość dnia:
|
dla równonocy wiosennej (jesiennej), tj.
:
|
długość dnia:
|
długość dnia:
|
dla przesilenia zimowego
:
|
długość dnia: |
długość dnia: |
Przedstawione wyżej wyniki mogą posłużyć to testowania poprawności działania przedstawionego programu.
Przedstaw graficznie zmiany długości dnia w ciągu roku w Jastrzębiej
Górze i Ustrzykach Górnych. Przyjmij, że moment wschodu i zachodu Słońca
następuje wtedy, gdy środek tarczy słonecznej znajduje się na wysokości
Podaj wnioski wynikające z porównania tych wykresów. Niezbędne dane liczbowe wyszukaj samodzielnie.
[LV OA I ETAP]
Zadanie to rozwiążemy przy pomocy programu komputerowego użytego po niewielkiej modyfikacji (długość dni).
|
Rys 5
|
Zmodyfikowany program Dokładamy komentarz graficzny:
For f = 49.1 To 54.83 STEP (54.83-49.1), pętla wewnętrzna – ciągłe d z odpowiednio dobranym skokiem.
Opis rysunku - Xara Xtreme Pro 5. |
Program pozwala wyznaczyć kąt godzinny wschodu i zachodu Słońca z uwzględnieniem refrakcji. W przedstawionej wersji program ilustruje graficznie zależność kąta godzinnego wschodu i zachodu Słońca w zależności od deklinacji i szerokości geograficznej.
- Dla Ustrzyk długość dnia w dniu przesilenia letniego 16h12m (rachunek daje - 16h11m), dla Jastrzębiej - 17h4m (rachunek - 17h20m).
- na krańcu Polski,najdalej wysuniętym na południe (szczyt Opołonek) dzień przesilenia letniego trwa 16 h 12 min,natomiast na brzegu morskim w Jastrzębiej Górze - najdalej wysuniętym na północ krańcu Polski, dzień ten trwa o ponad godzinę dłużej (17 h 20 min).
Inne zastosowania:
- gdy natomiast interesuje nas zależność kąt godziny - deklinacja, dla danej miejscowości, wystarczy w pętli zewnętrznej położyć For f = φ To φ, a δ po kolei - 23,5 To 23,5,
- gdybyśmy chcieli uzyskać wykres dla dwóch miejscowości o różnych szerokościach geograficznych φ1 > φ2 pętlę zewnętrzną modyfikujemy: For f = φ1 To φ2 Step (φ1 - φ2).
Interesujące wyniki daje zastosowanie naszego programu dla szerokości zbliżonych do szerokości okołobiegunowych (subpolarnych):
Przesilenie letnie, półkula północna:
|
φ |
Długość dnia |
φ |
Długość dnia |
|
61º |
|
65º |
![]() |
|
62º |
|
66º |
|
|
63º |
|
66º5 |
|
UWAGA! Dla
i
(koło podbiegunowe północne,
przesilenie letnie):

- punkt wchodu i zachodu
pokrywają się - dzień polarny,
Gdy
- matematycznie kąt godzinny jest
nieokreślony, ale istnieje interpretacja astronomiczna; dla danej deklinacji
δ
Słońce nie może się znaleźć w horyzoncie w miejscowości o szerokości
geograficznej φ. Innymi słowy w tej miejscowości Słońce
przez pewien czas nie wschodzi (noc polarna) albo nie zachodzi (dzień polarny).
Długość dnia polarnego jest zróżnicowana, od 24 godzin na terenach położonych na
szerokościach geograficznych wyznaczających koła podbiegunowe do 6 miesięcy na
samych biegunach.
Zauważmy przy okazji, że ze względu na zjawisko refrakcji atmosferycznej obszary występowania nocy polarnych i dni polarnych nie pokrywają się ze sobą.Obszar występowania dni polarnych jest nieco większy niż obszar zawarty wewnątrz koła podbiegunowego i wynosi φ >65°42', zaś obszar nocy polarnych – nieco mniejszy wynoszący φ >67°24'.
Powszechnie funkcjonuje pogląd, że w okolicach równikowych zmrok zapada bardzo szybko. Aby zweryfikować ten pogląd, dla początków astronomicznych pór roku oblicz czas trwania zmierzchu cywilnego na równiku, na zwrotnikach oraz w Twojej miejscowości.
Otrzymane wartości liczbowe zestaw w tabelce.
[LIX OA I ETAP]
Oznaczamy:
t0 - kąt godzinny zachodu Słońca z uwzględnieniem refrakcji,
t6 - kąt godzinny Słońca na wysokości h = -6º,
p = -0,01483,
Deklarujemy:
- w pętli zewnętrznej naszego programu: For φ = -23,44 To 23,44 Step 23,44
- w pętli wewnętrznej For δ = -23,44 To 23,44 Step 23,44
Przykład:
|
Deklinacja
Przesilenie zimowe Równik
|
|
Kąt godzinny
|
|
|
|
|
|
Dla Tarnowa
- zmieniamy tylko pętlę zewnętrzną For Φ = -23,44 To φ
|
Deklinacja
Tarnów |
|
|
|
ODP
|
|
|
|
|
|
zwrotnik Koziorożca φ = -23º44 |
|
|
|
|
Równik φ = 0º |
|
|
|
|
zwrotnik Raka φ = +23º44 |
|
|
|
|
Tarnów φ = 50º |
38 |
|
4 |
Długość trwania zmierzchu zależy od bieżącej deklinacji Słońca oraz szerokości geograficznej miejsca obserwacji. Na szerokości geograficznej 50° długość zmierzchu cywilnego waha się od pół godziny w okolicach równonocy do około 45 minut w okolicach przesilenia letniego i zimowego. Im bardziej przesuwamy się na północ, tym bardziej wzrasta długość zmierzchu, doprowadzając czasem do zjawiska białej nocy cywilnej;inaczej - zmierzch przechodzi bezpośrednio w świt.
Przedyskutuj, przez jaki okres czasu w ciągu roku na terenie Polski występują białe noce astronomiczne. W jakim okresie czasu takie białe noce trwają w Twojej miejscowości. Przyjmujemy, że biała noc astronomiczna zachodzi wtedy, gdy wysokość środka tarczy Słońca przez całą noc jest większa od -18 stopni.
[XLIX OA I ETAP]
Białe noce (cywilne)- cykliczne zjawisko astronomiczne występujące na dużych szerokościach geograficznych (powyżej około 55° N lub S), polegające na tym, że w pewnym okresie roku w nocy nie zapadają całkowite ciemności, czyli zmierzch przechodzi bezpośrednio w świt.Podczas białych nocy tarcza słoneczna chowa się pod horyzontem, ale dość płytko (mniej niż 12°).
Określamy - przez analogię - białe noce astronomiczne: Słońce jest pod linią horyzontu, ale pod mniejszym kątem niż 18°.
Zasadniczy warunek zaistnienia białej nocy astronomicznej na półkuli północnej, dołowanie północne:
,
.
|
Jastrzębia Góra
|
Ustrzyki Górne
|
Moja miejscowość TARNÓW
|
|
|
|
|
Aby sformułować odpowiedź możemy skorzystamy z wieloletniej tabeli współrzędnych równikowych Słońca w [4] lub [5].
ODP. Dla 2015 roku:
|
9 maja - 17 czerwca lub 27 czerwca - 21 sierpnia razem 94 dni |
10 czerwca - 4 lipca
24 dni |
7 czerwca – 12 lipca
35 dni |
Pytanie do czytelnika: dla jakich szerokości geograficznych mamy noc astronomiczną każdej doby ?
Odp.
,
.
Dlaczego w naszych obliczeniach
nie uwzględnialiśmy refrakcji, a w powyższych zadaniach tak ? Przy horyzoncie
średnia wartość refrakcji wynosi
Poprawki te są ujęte w odpowiednich rocznikach astronomicznych i tablicach nawigacyjnych (dzisiaj programy komputerowe).
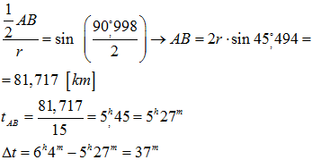
W dniu równonocy, w chwili górowania Słońca z miejscowości A o szerokości geograficznej φ = 30º wyrusza ekspedycja podążając z jednostajną prędkością v = [km/h], kierunku wskazywanym przez Słońce. W momencie zachodu Słońca ekspedycja dotarła do miejscowości B. O ile krócej trwałaby bezpośrednia podróż z miejscowości A do B (z tą samą prędkością v)?
[XXIX OA III ETAP]
Wydaje się w pierwszej chwili, że czas podróży wynosi t = 6h. Ale musimy pamiętać o refrakcji w horyzoncie. Wtedy staje się zrozumiałe po co autor podał szerokość geograficzną.
|
Rys 8a
Kąt godzinny zachodu Słońca: Droga przebyta po łamanej:
|
Rys 8b
Przybliżamy naszą łamaną łukiem okręgu o promieniu r: Z df miary łukowej:
Bezpośrednio między punktami A I B (długość cięciwy) wynosi (p. Rys 8b): |
Zwróćmy uwagę, że sytuacja opisana w tekście, w sensie fizycznym, ma związek z jedną z krzywych pochodzenia mechanicznego, mianowicie: spiralą Archimedesa. Przypomnijmy: jestkrzywa płaska, która jest torem punktu poruszającego się ruchem jednostajnym po promieniu obracającym się jednostajnie wokół pewnego punktu zwanego biegunem.
Pojawia się oczywiście pytanie, na ile przybliżenie łuku spirali łukiem okręgu jest dopuszczalne ?
ODP 37m
Przedyskutuj, czy w czasie pełnego roku stosunek sumy czasów przebywania środka tarczy Słońca nad horyzontem, do sumy czasów jego przebywania pod horyzontem zależy od szerokości geograficznej miejsca obserwacji.
[XXVI OA I ETA[]
Zmiany długości dnia związane są głównie z nachyleniem osi obrotu Ziemi w stosunku do płaszczyzny jej ruchu wokół Słońca (ekliptyki).Długość dnia w danym miejscu na Ziemi zależy od deklinacji Słońca, która zmienia się wraz z porą roku, oraz od szerokości geograficznej miejsca obserwacji.Na jego długość nieznacznie wpływają również zmiany prędkości Ziemi w ruchu obiegowym wokół Słońca, z których wynikają zmiany prędkości kątowej w tym ruchu.
Gdybyśmy nie uwzględniali refrakcji, czyli przyjęli h = 0º, momenty wschodu i zachodu określa wzór:
. Dla danego obserwatora
, to suma łuków dziennych środka
tarczy Słońca nad horyzontem:
, gdzie
tn - kąt godzinny zachodu Słońca dla
określonego dnia, a tym samym deklinacji:
Podobnie suma czasów przebywania środka tarczy pod horyzontem.
|
Łukiem dziennym obiektu, np. środka tarczy Słońca nazywamy podwojoną wartość jej kata godzinnego zachodu, tj.: 2tz, łuk nocny wynosi 360º-2tz. |
Na przykład: dla szerokości geograficznej Warszawy w najdłuższym dniu w roku refrakcja przyspiesza wschód Słońca średnio o 7 minut i o tyle samo opóźnia jego zachód, przedłużając w ten sposób dzień o prawie kwadrans[2]. Szczególnie duży efekt występuje na biegunach, gdzie refrakcja przyspiesza wschód Słońca o dwie doby i o tyle samo opóźnia jego zachód (rozpoczęcie nocy polarnej). |
Pomiar paralaksy pobliskich gwiazd umożliwia bezpośrednie określenie odległości do nich, a to stanowi podstawowe odniesienia w kosmicznej skali odległości (kalibracja skali), która służy do pomiaru odległości w skali Wszechświata. Pomiary paralaksy pobliskich gwiazd stanowią absolutną podstawę dla wyznaczania położenia bardziej odległych ciał niebieskich poprzez porównywanie właściwości ciał o znanej odległości ze znajdującymi się dalej. Wyniki pomiarów astrometrycznych są również używane do pomiaru rozkładu ciemnej materii w galaktyce, . Warto wspomnieć również o zastosowaniach w geodezji i nawigacji, fotografii, metrologii (nauka o pomiarach).
Wyróżniamy następujące rodzaje paralaksy w astronomii:
- paralaksa dobowa (geocentryczna paralaksa równikowa), związana z ruchem obrotowym Ziemi,
- paralaksa roczna (paralaksa heliocentryczna), związana z ruchem Ziemi po orbicie wokółsłonecznej,
- paralaksa geocentryczna południkowa, związana ze zmianą szerokości geograficznej obserwatora.
Przykład obliczania paralaksy południkowej wraz z rozwiązaniem spotykamy w XXV OA I ETAP [3].
Wiedząc, że średnica liniowa Księżyca wynosi 3478[km], paralaksa
geocentryczna poziomowa równikowa jego zmienia się w granicach od
do
, zaś promień równikowy elipsoidy
ziemskiej wynosi 6378[km], obliczyć zmiany średnicy kątowej Księżyca
obserwowanego z Ziemi.
[XV OA I ETAP]
|
Rys 10a
|
Rysunek obok przedstawia uproszczoną metodę wyznaczania paralaksy geocentrycznej równikowej: K – punkt odniesienia na powierzchni
Księżyca, π- kąt paralaksy geocentrycznej Księżyca (tj. paralaksy, dla której bazą jest promień Ziemi). Apogeum:
Perigeum:
|
|
Rys 10b
|
Przedstawioną wyżej definicję można odwrócić - tj. znając liniową średnicę ciała niebieskiego i paralaksę, znajdujemy odległość od ciała. Rozpatrujemy położenie obserwatora topocentrycznego.
|
|
ODP Zmiana średnicy kątowej Księżyca:
Jeżeli porównamy nasz rezultat danymi z encyklopedii:
- Czytelnik z pewnością zauważył, że raz stosujemy funkcje sinus, drugi raz tangens.Dlatego należy zapoznać uczniów z przybliżeniem sin x ≈ tg x(dla małych kątów, x < 3º). - XV Olimpiada Astronomiczna rozgrywana była
w r.szk.1972/73 i obliczanie wartości funkcji
trygonometrycznych małych kątów było utrudnione; kalkulatory elektroniczne
nie były jeszcze rozpowszechnione.Posługiwano się czterocyfrowymi
tablicami matematycznymi, które pozwalały obliczać wartości wspomnianych
funkcji z dokładnością do
|
Dwie osoby stojące na równiku Ziemi i oddzielone o prawie 180º w długości geograficznej, w tej samej chwili obserwują pozycję Księżyca względem tła gwiazd. Zakładając, że deklinacja Księżyca wynosi zero, narysuj szkic sytuacji i wylicz różnicę w rektascensji mierzonej przez obu obserwatorów.
II-ga Międzynarodowa Olimpiada Astronomii i Astrofizyki, Bandung, Indonezja 2008]
- Z założenia deklinacja Księżyca δ = 0º, to znaczy, że znajduje się on w płaszczyźnie równika niebieskiego,a zatem i równika ziemskiego.Dlatego też do dalszych rozważań przyjmujemy ziemski promień równikowy - 6378[km].
- Nie wiemy w jakim punkcie orbity znajduje się Księżyc:do dalszych rachunków przyjmujemy średnią odległość Ziemia-Księżyc - 384403[km].
.
W celu sformułowania odpowiedzi posłużyłem się rysunkiem 10a (zad 10):
ODP Obserwowana zmiana rektascensji
.
Warto zwrócić uwagę na istotne założenie autora zadania, że obserwacje odległych obserwatorów (topocentrycznych) są prowadzone równocześnie.Nie musimy więc uwzględniać dobowych zmian rektascensji Księżyca, które są znaczne.Proponuje, aby uczeń – jako ćwiczenie - samodzielnie oszacował te zmiany.
Zmiana rozmiarów kątowych ciała niebieskiego poruszającego się ze znaną
prędkością radialną pozwala obliczyć jego odległość od obserwatora. Metoda taka
może być stosowana do wyznaczania odległości bliskich ciał, jeśli odpowiednia
zmiana rozmiarów kątowych jest mierzalna.
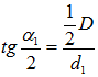
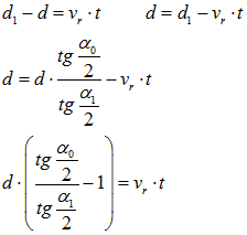
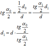
Wyprowadź wzór na początkową odległość d ciała o średnicy
kątowej α0,
oddalającego się od obserwatora ze stałą prędkością
vr co powoduje, że po czasie t
jego średnica kątowa zmniejszy się do wartości α1.
[L OA I ETAP]
|
Rys 12
|
Oznaczmy: przez D średnicę liniową ciała, d1 - odległość ciała po czasie t:
w tym momencie mamy dwie niewiadome, które łatwo usuwamy:
Musimy uważać na oznaczenia danych: D – średnica, d – odległość. Często w literaturze astronomicznej z j. angielskiego używa się |
|
|
Prędkość oddalania się ciała to po prostu składowa radialna ruchu własnego, spotkaliśmy się już w tym pojęciem w [6].
|
|
|
ODP
początkową odległość ciała
.
Podaj, w jaki sposób zmieniają się w ciągu roku
obserwowane współrzędne równikowe gwiazdy α Leonis (α Lwa). Przyjmij, że średnie
współrzędne α Lwa wynoszą:
,
, paralaksa
.
[XLIX OA III ETAP]
Warto zauważyć, że wspomniana w tekście gwiazda to Regulus.
W trakcie ruchu rocznego Ziemi gwiazdy zakreślają, wskutek paralaksy na niebie, małe elipsy. Ich kształt zależy od położenia gwiazdy względem ekliptyki, a rozmiar kątowy wielkiej półosi (π) zależy od odległości do gwiazdy. W środku elipsy znajduje się punkt zwany heliocentrycznym miejscem gwiazdy. W tym punkcie gwiazda byłaby widoczna dla obserwatora znajdującego się na Słońcu. Gwiazda w ciągu roku zakreśla na niebie elipsę, która dla gwiazd leżących w biegunie ekliptyki jest kołem o promieniu π, dla leżących na ekliptyce - redukuje się do odcinka o długości 2π.
,
Przygotowujemy:
|
|
|
|
|
|
|
|
|
|
|
|

.
Można przyjąć, ze deklinacja Regulusa δ ≈ 0º, czyli zmienia się tylko jego długość ekliptyczna:
,
Jeszcze tylko redukcja na równik [4]:

ODP
.
Zjawisko to jest wywołane oddziaływaniem grawitacyjnym ze strony Księżyca i Słońca.Oś obrotu Ziemi nie jest prostopadła do jej płaszczyzny obiegu wokół Słońca (ekliptyki), ale pochylona pod kątem ok.23,5°.Różnice w wartości i kierunku przyciągania bliższej i dalszej od Słońca części Ziemi wytwarzają moment siły dążący do ustawienia osi obrotu Ziemi prostopadle do kierunku Ziemia - Słońce.W rezultacie tego momentu siły i obrotu Ziemi jej oś obrotu ulega precesji czyli porusza się po powierzchni bocznej stożka.Skutkiem precesji Ziemi równik niebieski wędruje ruchem wstecznym po ekliptyce z prędkością 1° na 72 lata, a biegun niebieski zakreśla wokół bieguna ekliptyki okrąg, którego promień wynosi ok.23,5°.Podobnie przesuwa się po ekliptyce punkt Barana, inaczej zwany punktem równonocy wiosennej.
Około 425 tysięcy lat temu Aldebaran i Kapella znajdowały się na sferze bardzo blisko siebie. Ich współrzędne równikowe wynosiły wtedy:
,
.
Pokaż, że każdą z tych gwiazd
można
by wtedy nazwać gwiazdą biegunową.
Potrzebne dane liczbowe wyszukaj samodzielnie.
[XXXIII OA I ETAP]
|
Rys 14a
|
Stożek precesji - duży, okresowy obrót osi Ziemi po powierzchni stożka wokół osi prostopadłej do płaszczyzny orbity. Ruch precesyjny powoduje krążenie biegunów niebieskich wokół biegunów ekliptyki, oraz przesuwanie się punktu równonocy się o 50" na rok, a więc pełen obrót nastąpi po upływie 26000 lat.
|
|
Rys 14b
|
Ponieważ rektascensje obu gwiazd niewiele się różnią, przyjmujemy, że znajdują się one na tym samym kole godzinnym. Do dalszych rozważań rozpatrzymy śladowy przekrój południkowy sfery niebieskiej; wówczas kąt godzinny t = 0º.
Oś świata (Pn-Ps) i równik przyjmują nowe położenia.
Wydaje się, ze precyzyjny rysunek daje wystarczającą odpowiedź. Na wszelki wypadek wykonajmy rachunki: Gwiazdy okołobiegunowe muszą spełniać warunek: Wysokość dołowania północnego (na północ od nadiru):
|
|
Aktualnie gwiazdą biegunową jest najjaśniejsza gwiazda Małej Niedźwiedzicy (Małego Wozu): α Ursae Minoris.W 2000 roku znajdowała się ona w odległości ok.44 minut łuku od bieguna północnego.W przeszłości Gwiazdą Polarną były Kochab (β Ursae Minoris, ok.400 p.n.e.), Thuban z gwiazdozbioru Smoka (ok.2600 p.n.e.) i Tau Herculis z gwiazdozbioru Herkulesa (około 7400 p.n.e.).Około roku 3000 α Ursae Minoris będzie równie odległa od bieguna co γ Cephei (Alrai w gwiazdozbiorze Cefeusza),która to będzie kolejną Gwiazdą Polarną.Następnie Gwiazdami Polarnymi będą kolejno: Alderamin (α Cephei) około roku 7000, Wega (α Lyrae)około roku 14 000 i ponownie Thuban około roku 24 000.
|
|
ODP. Z dokładnością 1º można przyjąć, że wspomniane gwiazdy są gwiazdami biegunowymi w podanej epoce.
Uwaga:w literaturze popularno-naukowej często można spotkać opisy konsekwencji precesji:przesuwanie punktu Barana po ekliptyce,zmiany punktów równonocy oraz przesilenia letniego i zimowego, powolny ruch biegunów sfery niebieskie, różnicę między rokiem gwiazdowym a rokiem zwrotnikowym wynoszącą około 20 minut, itd.Ale wyraźnie umyka w tych publikacjach autorom istotny fakt,że powierzchnia stożka jaki zakreśla oś świata,wywołana tym zjawiskiem,ma związek nie z biegunami sfery niebieskiej, ale z północnym biegunem ekliptyki;młodych adeptów astronomii może to wprowadzić w błąd.
Ze względu na precesję osi obrotu Ziemi obszar nieba widoczny z punktu o ustalonych współrzędnych geograficznych zmienia się w czasie. Czy jest możliwe, że pewnego dnia Syriusz będzie gwiazdą nie wschodzącą dla obserwatora w Krakowie, podczas gdy Kanopus będzie tam wschodził i zachodził? Załóż, że oś Ziemi zakreśla stożek o kącie rozwarcia 47º.
Szerokość geograficzna Krakowa wynosi 50º1N; obecne współrzędne równonocne (rektascensja i deklinacja) zadanych gwiazd to:
Syriusz (α CMa): 6h45m, -16º43',
Canopus (α Car): 6h24m, -52º42'.
[5th IOAA, Chorzów, Poland, 2011, krótkie zadania teoretyczne]
Kanopus (α Car) – najjaśniejsza gwiazda w gwiazdozbiorze Kila (wielkość gwiazdowa: -0,62m), druga (po Syriuszu) pod względem jasności gwiazda nocnego nieba. Odległa od Słońca o ok. 310 lat świetlnych. W Polsce obecnie niewidoczny.
Wykonajmy najpierw precyzyjne rysunki, uwzględniające zmiany położenia równika i ekliptyki, oraz deklinacje gwiazd. Jako bazę, tym razem, przyjmijmy układ ekliptyczny:
|
Rys 15a
Północny biegun ekliptyczny - w gwiazdozbiorze Smoka. |
Rys 15b
Południowy biegun ekliptyczny - w gwiazdozbiorze Złotej Ryby (Dorado). |
Zwróćmy uwagę na zmianę oznaczeń punktów kardynalnych horyzontu N i S. Kąty jakie tworzą równik niebieski z horyzontem obserwatora (na rys. nie uwidocznione):
- obecnie :
,
- w przyszłości:
.
Analizując Rys 15a i 15b widzimy, że w obydwu położeniach osi świata Syriusz wchodzi i zachodzi, a Kanopus nigdy nie wschodzi.
Sprawdźmy to jeszcze rachunkami:
|
Obecnie: Syriusz: Górowanie na południe od zenitu
- zatem Syriusz wschodzi i zachodzi,
Kanopus:
|
W przyszłości tj. po upływie połowy roku platońskiego (25800 lat) następuje zamiana miejscami punktów kardynalnych N i S co powoduje, że dalej obowiązują wzory użyte po lewej stronie.
ODP Sytuacja opisana w tekście zadania nie zachodzi; Syriusz wschodzi i zachodzi, a Kanopus jest gwiazdą okołobiegunową na południowej półkuli niebieskiej.
|
W zad 14 autor podaje współrzędne gwiazd wraz z datą 1950,0 (indeks dolny), w zad 15 spotykamy natomiast sformułowanie: obecne współrzędne równonocne. Oznacza to, że milcząco zakładamy, iż współrzędne widome (topocentryczne) nie ulęgają zmianom.
Pojawia się tutaj pojęcie epoki astronomicznej . Jest to moment w czasie, dla którego określone są współrzędne (opis liczbowy – np. efemerydy, katalogi) astronomiczne lub parametry orbity. W przypadku współrzędnych astronomicznych, położenie ciała dla innych czasów można obliczyć uwzględniając jego precesję oraz ruch własny.
Zauważmy, że precesja jest spowodowana oddziaływaniem grawitacyjnym ciał układu słonecznego, a ruch własny – to zmiana położenia gwiazd na sferze wynikająca z ich własnych prędkości przestrzennych.
Ruch własny, w astronomii kątowe przesunięcie gwiazdy na niebie w ciągu jednego roku wynikające zarówno z jej ruchu (tzw.składowa swoista ruchu własnego), jak i ruchu Układu Słonecznego w Galaktyce (tzw.składowa paralaktyczna ruchu własnego).Ruch własny jest dla większości gwiazd bardzo mały, wynosi nie więcej niż ułamek sekundy łuku.
Na obserwowany ruch gwiazd na niebie wpływa kilka efektów, wśród których dwa są istotne z punktu widzenia astrofizyki gwiazdowej: ruch własny oraz paralaksa.
Obecnie układem gwiazdowym położonym najbliżej Słońca jest układ potrójny
α Centauri. Wskaż, która z gwiazd, leżących obecnie w odległości nie
większej niż 15 lat świetlnych, w przyszłości może się znaleźć bliżej Słońca niż
Dane kinematyczne gwiazd znajdują się w tabelce:
|
|
R |
µ |
Vr |
|
Gw. Bernarda |
5,98 |
10,34 |
-108 |
|
Wolf 359 |
+13 |
4,71 |
+13 |
|
BD + 36º2147 |
8.23 |
4,78 |
-86 |
|
α CMa |
8,69 |
1,32 |
-8 |
|
UV Cet 8,79 |
8,79 |
3,36 |
+29 |
|
Ros 154 |
9,59 |
0,72 |
-4 |
|
Ros 248 |
10,32 |
1,60 |
-81 |
|
ε Eri |
10,76 |
0,98 |
+15 |
|
Ros 128 |
10,94 |
1,40 |
-13 |
|
Luyten 789-6 |
10,94 |
3,25 |
-60 |
|
61 Cyg |
11,18 |
5,22 |
-64 |
|
α Cmi |
11,36 |
1,25 |
-3 |
|
ε Ind |
11,44 |
4,69 |
-40 |
|
BD + 43º44 A |
11,73 |
2,90 |
+14 |
|
BD + 59º1915 A |
11,73 |
2,29 |
+1 |
|
τ Cet |
11,85 |
1,92 |
-16 |
|
CD - 36º15693 |
11,94 |
6,90 |
+10 |
|
BD + 5º1668 |
12,26 |
3,73 |
+26 |
|
CD - 39º14192 |
12,78 |
3,47 |
+211 |
|
Gw. Kapteyna |
12,99 |
8,72 |
+242 |
|
Kruger 60 A |
13,09 |
0,87 |
-24 |
|
Ross 614 A |
13,15 |
1,00 |
+24 |
|
BD - 12º4523 |
13,36 |
1,18 |
-13 |
|
Wolf 424 A |
14,30 |
1,78 |
-5 |
|
BD 50º1725 |
14,68 |
1,45 |
-27 |
|
CD - 37º15429 |
14,89 |
6,11 |
+24 |
R- odległość w latach świetlnych, µ - ruch własny wyrażony w sekundach łuku na rok, Vr - prędkość radialna w [km/s].
[XXXIX OA I ETAP]
Najszybciej porusza się sferze słaba gwiazda odkryta przez Barnarda 1916 roku.Znajduje się ona w gwiazdozbiorze Wężownika i ma ruch własny µ = 10"25, jej prędkość tangencjalna wynosi 90[km/s].W ciągu 180 lat gwiazda przesunie się na sferze 180·10"25 = 30'75 czyli o średnicę Księżyca.
Uwzględniając znak Vr > 0 - w przypadku oddalania się źródła lub Vr < 0, gdy obiekt zbliżania się do obserwatora dokonujemy pierwszej selekcji obiektów. Zakładamy ponadto, że dane podane w tabelce są uwolnione od efektu ruchuZiemi (ruch wirowy i orbitalny) oraz Słońca (ruch względem Galaktyki).
|
Rys. 16
Szukana odległość od Słońca:
|
Najistotniejsze jest by obie składowe prędkości wypadkowej były wyrażane w tych samych jednostkach. Ażeby znaleźć prędkość tangencjalną vt należy ruch własny µ wyrazić w [km/s]. Korzystamy z definicji parseka:
|
Oznaczmy:
- obecną odległość
α Cen od Słońca.
|
Przykłady: |
|
α Cen:
- TAK |
α Cma:
- NIE |
ODP przedstawimy w formie tabelki:
|
α Cen |
3,02 | TAK |
|
Gw. Bernarda |
2,70 | TAK |
|
|
2,10 | TAK |
|
α CMa (Syriusz) |
6,80 | NIE |
|
Ros 154 (V1216) |
0,50 | TAK |
|
Ros 248 (HH Andromedae) |
4,46 | NIE |
|
Ros 128 (F1 Vir) |
5,58 | NIE |
|
Luyten 789-6 |
2,80 | TAK |
|
61 Cyg |
4.36 | TAK |
|
α Cmi (Procjon) |
22,40 | NIE |
|
τ Cet |
7,44 | NIE |
|
Kruger
|
2,24 | TAK |
|
4523 |
3,10 | TAK |
|
Wolf |
24,10 | NIE |
|
25 |
3,75 | TAK |
Łatwo zauważyć, że pod nazwami katalogowymi figurują czasami (wyróżniony kolor) nazwy własne albo nr-y innych katalogów, np. (Syriusz),(Procjon), Bonner Durchmusterung 1739, Fundamentalny Katalog Gwiazd , Katalog Gliesego , Katalog Hipparcos . Przyczyna jest prosta; niegdyś katalogi miały głównie charakter astrometryczny (położenie na niebie). Gwałtowny rozwój technik obserwacyjnych spowodował powstanie katalogów specjalistycznych. Więcej na ten temat w [7].
Przypomnijmy, że prędkości radialne służą również do wyznaczania tzw. krzywej rotacji galaktyk. Spłaszczenie tej krzywej sugeruje obecność w galaktykach innej, niewidocznej ciemnej materii.
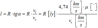
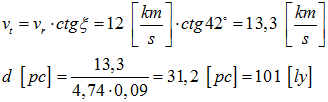
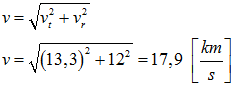
Jedna z gwiazd pewnej gromady ruchomej jest
oddalona od apeksu gromady o ζ =
42º, ma prędkość radialną
Wskazówka:
- wektory prędkości gwiazd gromady ruchomej są równoległe do kierunku apeksu tej gromady.
[XLVIII OA III ETAP]
Ruch własny (proper motion) to ruch obiektu na sferze niebieskiej,
zwykle mierzony w
. Przymiotnik „własny” oznacza, że
nie mamy na myśli ruchu związanego ze zmianą współrzędnych czyli np. efektów
takich jak precesja. Zwykle wyróżnia się ruch własny w rektascensji
µα i deklinacji µδ. Ruch własny
jest dla większości gwiazd bardzo mały, wynosi nie więcej niż ułamek sekundy
łuku.
Znajomość ruchu własnego uzupełniona o informację o odległości i prędkość radialną pozwala wyliczyć całkowity wektor prędkości w przestrzeni.
|
Rys 17
|
APEKS: punkt na sferze niebieskiej określający kierunek ruchu Słońca względem wybranej grupy gwiazd.
Tangencjalna składowa prędkości obiektu wiąże się z jego ruchem własnym μ i odległością d równaniem (p. zad 16):
Wartość wektora prędkości (całkowitego):
ODP odległość gwiazdy: około 100 lat świetlnych, a prędkość przestrzenna w przybliżeniu około 18[km/s]. |
Tabela zawiera wyniki pomiarów geocentrycznej prędkości radialnej Arktura (α Bootis), przeprowadzone w ciągu roku w jednym z obserwatoriów astronomicznych. Na podstawie danych zawartych w tabeli sporządź wykres zmian prędkości radialnych Arktura oraz zinterpretuj otrzymany wynik.
[L OA II ETAP]
Arktur był pierwszą gwiazdą, u której stwierdzono ruch własny – w ciągu 800 lat przesuwa się na niebie o odległość kątową równą średnicy tarczy Księżyca. Odkrycia tego dokonał Edmund Halley w 1717 roku.
|
Data |
v[km/s] |
Data |
v[km/s] |
Data |
v[km/s] |
Data |
v[km/s] |
|
I 15 |
+21,1 |
II 22 |
+15,1 |
VII 08 |
-30,1 |
VIII 11 |
-27,8 |
|
I 19 |
+21,0 |
II 24 |
+14,3 |
VII 11 |
-30,1 |
VIII 15 |
-27,0 |
|
I 27 |
+20,4 |
III 02 |
+12,2 |
VII 16 |
-30,2 |
VIII 23 |
-25,2 |
|
II 03 |
+19,3 |
III 21 |
+4,9 |
VII 20 |
-30,2 |
IX 21 |
-15,0 |
|
II 07 |
+18,6 |
VI 21 |
-28,1 |
VII 23 |
-30,1 |
XII 21 |
+19,0 |
|
II 10 |
+18,0 |
VI 24 |
-28,6 |
VII 30 |
-29,5 |
|
|
|
II 15 |
+17,0 |
VII 01 |
-29,4 |
VIII 06 |
-28,6 |
|
|
Dni liczone od początkowej daty (wykres wykonany pod Office Excel).
|
0 |
21,1 |
177 |
-30,1 |
|
|
4 |
21 |
183 |
-30,2 |
|
|
12 |
20,4 |
187 |
-30,2 |
|
|
19 |
19,3 |
190 |
-29,5 |
|
|
23 |
18,6 |
197 |
-29,5 |
|
|
26 |
18 |
204 |
-28,6 |
|
|
31 |
17 |
209 |
-27,8 |
|
|
38 |
15,1 |
216 |
-27 |
|
|
40 |
14,3 |
224 |
-25,2 |
|
|
47 |
12,2 |
259 |
-15 |
|
|
66 |
4,9 |
350 |
19 |
|
|
|
|
|
|
ODP interpretacje krzywej prędkości radialnych pozostawiam czytelnikowi. Proponuję skorzystać z WIKIPEDII (długookresowe oscylacje prędkości radialnej).
Trudno wskazać - we współczesnej astronomii - dziedzinę, która nie korzystałyby z danych astrometrycznych; inaczej astrometria to kręgosłup nie tylko tradycyjnej astronomii, ale również fundament nowoczesnej astrofizyki, kosmologii obserwacyjnej czy też interdyscyplinarnych dziedzin (astrogeologia, astrobiologia).
Wymieńmy kilka najnowszych projektów, w których uczestniczą polscy astronomowie wykorzystujący zaawansowane technologie obserwacyjne. Zwróćmy uwagę na międzynarodową współpracę polskich astrofizyków [8], [9]:
|
Uniwersytetu Jagiellońskiego:
- udział w projekcie Cherenkov Telescope Array (CTA), największym na świecie obserwatorium badającym Wszechświat w promieniowaniu gamma wysokich i bardzo wysokich energii, w zakresie od około 20 GeV do 300 TeV, - badania wielkoskalowej struktury Wszechświata i ewolucji galaktyk, statystyka struktur wielkoskalowych; własności pola ciemnej materii, natury ciemnej energii; opracowywanie metod klasyfikacji galaktyk, - fizyką komet, fotometrią i modelami gwiazd zmiennych, obserwacjami radiowego promieniowania Słońca, badaniem pozagalaktycznych radioźródeł, aktywnych jąder galaktyk, materią międzygwiezdną.
|
- monitorowanie pulsarów, m.in. w celu wykrycia ewentualnych planet obiegających te obiekty, obserwacje jąder aktywnych galaktyk i kwazarów w dużej rozdzielczości za pomocą techniki Very Large Base Interferometry, wymagającej precyzyjnego współdziałania kilku odległych od siebie radioteleskopów obserwujących równocześnie ten sam obiekt, - badania otoczek gwiazdowych za pomocą radiowych linii maserowych, - innym wartym uwagi projektem astrometrycznym jest przygotowywany projekt RISARD, oparty o radiowe obserwacje interferometryczne, - prowadzone są m. in. badania radioźródeł pozagalaktycznych, zwłaszcza radiogalaktyk . W dziedzinie optycznej kontynuowane są, obserwacje gwiazd zaćmieniowych za pomocą współczesnych technik.
|
|
- wykorzystanie kwazarów do wyznaczania rozkładu ciemnej energii; projekt łączy badania nad zrozumieniem struktury kwazarów z kosmologią, - wykorzystanie kwazarów jako świec standardowych w kosmologii, podobnie jak w przypadku Supernowych, - projekt OGLE – jeden z największych na świecie przeglądów nieba, - prace przygotowawcze nad teleskopem Einsteina.
|
Teteoretyczna interpretacja soczewkowania grawitacyjnego, - monitorowane jasnych gwiazdy z dużych obszarów nieba, prace teoretyczne: badanie pulsacji gwiazd, gwiazdowych pól magnetycznych, atmosfer gwiazd neutronowych, mikrofalowego promieniowania tła.
|
|
- astrometria i mechanika nieba - dynamika małych ciał Układu Słonecznego oraz sztucznych satelitów Ziemi, - astrofizyka gwiazdowa (układy podwójne).
|
- fotometryczne i spektroskopowe badania gwiazd zmiennych oraz w dziedzinie heliofizyki obserwacje zjawisk zachodzących w atmosferze słonecznej i teoretycznym modelowaniu rozbłysków.
|
|
- obserwacje gwiazd zmiennych, zwłaszcza zaćmieniowych, - od 1991 obserwatorium pracuje w sieci WET (Whole Earth Telescope), której celem jest prowadzenie ciągłych (całodobowych) obserwacji wybranych obiektów. Są to głównie gwiazdy o dużych gęstościach, nazywane białymi karłami.
|
|
Dynamiczny rozwój instrumentarium i technik obserwacyjnych, technik numerycznych, badania fizyków-teoretyków powodują, że w niektórych kręgach astronomów zamiennie stosowane są terminy ASTROMETRIA I ASTROFIZYKA.
NIESTETY KOLEJNE LATA BEZ ASTRONOMII W SZKOLE
[1] Sypek T., Zadania z olimpiad astronomicznych, Astronomia sferyczna, Serwin Edukacyjny strony www ILO, Tarnów,
[2] Kurnik H. Instrumenty obserwacyjne astrometrii, Od gnomonu do CCD i interferometru optycznego, Poznań, Wydawnictwo Naukowe UAM, 2000,
[3] teksty zadań zostały zaczerpnięte z następujących pozycji:
- Chrupała H., Szczepański M., T.,25 lat olimpiad astronomicznych, WSZiP, pozycja ta, bez rozwiązań zadań, jest dostępna w: http://lubimyczytac.pl/ksiazka/160815/25 lat olimpiad astronomicznych,
- zadania z olimpiad astronomicznych XXVI - XXX, Chrupała H., Chorzów 1994, Zadania z olimpiad astronomicznych XXXI - XXXV, Chrupała H. , Chorzów 1994 (publikacje te dotyczą Olimpiad Astronomicznych
- zadania z olimpiad (lata 70 i 80 - te), H. Chrupała, J.M. Kreiner, M.T. Szczepański: Zadania z astronomii z rozwiązaniami; - J.M. Kreiner: Astronomia z astrofizyką, Wydawnictwo Planetarium Śląskiego, Chorzów 1994,
- archiwum Koła Astronomicznego przy I Liceum Ogólnokształcącym w Tarnowie (regulaminy olimpiad, teksty zadań zawodów stopnia I-go, 1 sza- i 2-ga seria zadań, plakaty Komitetu Głównego OA),
- pliki na stronie www Planetarium Śląskie, Chorzów,
[4] Mietelski J., Astronomia w geografii, Wydawnictwo Naukowe PAN, W-wa, 2005,
[5] Ściężor T., Almanach Astronomiczny na rok 2015, Polskie Towarzystwo Astronomiczne, W-wa 2014 , wersja PDF],
[6] Sypek T., Studnia potencjału grawitacyjnego, Serwis Edukacyjny strony www ILO, Tarnów,
[7] https://pl.wikipedia.org/wiki/Katalog_astronomiczny,
[8] Stępień, K. Astronomia z astrofizyką w Polsce u progu XXI wieku., NAUKA 4/2004, stromy internetowe uczelni,
[9] Wolszczan A. Astronomia pozasłonecznych układów planetarnych, http://www2.astro.psu.edu/users/alex/wyklad1-4.pdf.
|
|
|
Tadeusz Sypek,- emerytowany nauczyciel I LO w Tarnowie, długoletni opiekun Koła Astronomicznego. |
![]() | I Liceum Ogólnokształcące |
Pytania proszę przesyłać na adres email: i-lo@eduinf.waw.pl
W artykułach serwisu są używane cookies. Jeśli nie chcesz ich otrzymywać,
zablokuj je w swojej przeglądarce.
Informacje dodatkowe